Software
Software developments
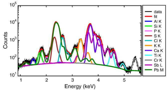
An asset of ID21 is the energy range (2–9 keV) which covers from low-Z elements (in particular S, Cl, P, which are major players in degradation processes due to environmental contaminants) and 3d transition metals (from Ca to Cu), which are responsible for many optical effects (colour, opacity, lustre effects, ...) in many materials (pigments, glasses, ceramics). It allows also analyzing higher-Z elements, through L and M lines. The XRF spectra can exhibit typical overlaps of K-lines from low-Z elements and L or M lines of higher-Z elements. Such overlaps are regularly encountered when analysing CH materials. This has motivated the development of a dedicated fitting tool, allowing the separation of the different contributions. One of the first applications of the so-called PyMca software package in the CH field was the identification of an unusual Sb2S3 pigment in Grunewald’s Isenhein Altarpiece and Basel’s Crucifixion. Today, PyMca is a common tool for XRF fitting in the field of CH, very far from its original synchrotron mission. This is due to the fact that, after the primary monochromatic source, options were developed to support the description of polychromatic X-ray tube source. Additionally, the possibility to define multi-layered matrix was essential for quantitative applications to easel paintings. All these developments were crucial for resolving the sfumato technique developed by Leonardo Da Vinci to paint the shadow of his most famous portraits, as studied in his paintings from the Louvre collection.
|
V. A. Sole, E. Papillon, M. Cotte, P. Walter and J. Susini, "A multiplatform code for the analysis of energy-dispersive X-ray fluorescence spectra", Spectrochimica Acta - Part B Atomic Spectroscopy, 62, 63-68 (2007). |
|
A user friendly program for X-ray fluorescence analysis has been developed at the European Synchrotron Radiation Facility. The program allows interactive as well as batch processing of large data sets and it is particularly well suited for X-ray imaging. Its implementation of a complete description of the M shell is particularly helpful for analysis of data collected at low energies. The code is platform independent (Linux, Windows, MacOS X, Solaris ...) and it is freely available for non-commercial use. Description of the algorithms used and practical examples are presented.
![]() |
L. de Viguerie, P. Walter, E. Laval, B. Mottin and V. A. Solé, "Revealing the sfumato Technique of Leonardo da Vinci by X-Ray Fluorescence Spectroscopy", Angewandte Chemie International Edition, 49, 6125-6128 (2010). |
Non‐invasive X‐ray fluorescence spectroscopy was used to reveal the sfumato paint layer stacking method that was used by Leonardo da Vinci to paint the faces in seven of his paintings. A strong diversity in his technique could clearly be seen with this method.
|
L. de Viguerie, V. A. Sole and P. Walter, "Multilayers quantitative X-ray fluorescence analysis applied to easel paintings", Analytical and Bioanalytical Chemistry, 395, 2015-2020 (2009). |
https://doi.org/10.1007/s00216-009-2997-0
X-ray fluorescence spectrometry (XRF) allows a rapid and simple determination of the elemental composition of a material. As a non-destructive tool, it has been extensively used for analysis in art and archaeology since the early 1970s. Whereas it is commonly used for qualitative analysis, recent efforts have been made to develop quantitative treatment even with portable systems. However, the interpretation of the results obtained with this technique can turn out to be problematic in the case of layered structures such as easel paintings. The use of differential X-ray attenuation enables modelling of the various layers: indeed, the absorption of X-rays through different layers will result in modification of intensity ratio between the different characteristic lines. This work focuses on the possibility to use XRF with the fundamental parameters method to reconstruct the composition and thickness of the layers. This method was tested on several multilayers standards and gives a maximum error of 15% for thicknesses and errors of 10% for concentrations. On a painting test sample that was rather inhomogeneous, the XRF analysis provides an average value. This method was applied in situ to estimate the thickness of the layers a painting from Marco d'Oggiono, pupil of Leonardo da Vinci.
|
M. Cotte, T. Fabris, G. Agostini, D. Motta Meira, L. De Viguerie and V. A. Solé, "Watching kinetic studies as chemical maps using open-source software", Analytical Chemistry, 88, 6154–6160 (2016). |
A nonproprietary software package, “PyMca”, primarily developed for X-ray fluorescence analysis offers an easy-to-use interface for calculating maps, by integrating intensity (of X-ray fluorescence, as well as any spectral data) over Regions Of Interest (ROI), by performing per pixel operations or by applying multivariate analysis. Here we show that, while initially developed to analyze hyperspectral two-dimensional (spatial) maps, this tool can be beneficial as well to anyone interested in measuring spectral variations over one or two dimensions, these dimensions being time, temperature, and so on. Different possibilities offered by the software (preprocessing, simultaneous analysis of replicas, of different conditions, ROI calculation, multivariate analysis, determination of reaction rate constant and of Arrhenius plot) are illustrated with two examples. The first example is the Fourier transform infrared spectroscopy (FTIR) follow-up of the saponification of oil by lead compounds. The disappearance of reagent (oil) and formation of products (lead carboxylates and glycerol) can be easily followed and quantified. The second example is a combined extended X-ray absorption fine structure (EXAFS), diffuse reflectance infrared Fourier transform spectroscopy (DRIFT), and mass spectroscopy (MS) analysis of RhAl2O3 catalyst under NO reduction by CO in the presence of O2. It is possible to appreciate, in a single shot, Rh particles’ structure and surface changes and gas release and adsorption in the reaction conditions.




