- Home
- News
- Spotlight on Science
- High-pressure synthesis...
High-pressure synthesis of lead compounds featuring new carbon-nitrogen anion
29-10-2025
Researchers have synthesised two new lead carbonitrides under high pressure, each containing a fully deprotonated melaminate anion. Using X-ray diffraction at beamlines ID11 and ID15B, they determined the single-crystal structure from submicrometre-sized samples formed under extreme conditions. The resulting solids remain stable at ambient pressure, and their distinctive chemistry offers promising routes to new functional materials.
Share
The challenge
Carbon–nitrogen compounds play an essential role in many areas of chemistry and materials science. Their versatile bonding enables applications ranging from catalysis and energy storage to the synthesis of ultrahard materials. Among these, melamine – a small molecule based on a triazine ring (C3N3) with three amino groups (NH2) – has long served as a model and precursor for nitrogen-rich solids such as graphitic carbon nitride, noted for its photocatalytic activity. Carbon−nitrogen species are also relevant to prebiotic chemistry, as their simple structures facilitate the synthesis of key biomolecules such as amino acids and nucleotides.
Despite this broad interest, a hydrogen-free derivative of melamine – composed solely of carbon and nitrogen atoms – had never been synthesised. Theoretical studies predicted that such a species, the [C3N6]6− melaminate anion, could exist in combination with metallic cations [1]. These melaminate units were expected to confer promising photocatalytic and optoelectronic properties, providing strong motivation for experimental realisation. However, synthesising such a compound has long remained a challenge.
The experiment
This study investigated the use of high-pressure synthesis to stabilise new carbon–nitrogen frameworks. Lead and nitrogen-rich precursors were compressed and laser-heated in diamond anvil cells, generating the extreme conditions – pressures up to 48 GPa and temperatures above 2000 K – required to drive the formation of new chemical bonding configurations.
The resulting samples were analysed by X-ray diffraction at the ID11 and ID15B beamlines, producing high-quality single-crystal diffraction data from submicron crystallites (< 1 µm3) under high-pressure conditions. These data enabled the determination and refinement of two previously unknown compounds – tP48–Pb3(C3N6) and hP72–Pb3(C3N6) – both sharing the same stoichiometry but differing in crystal structure (Figure 1). Complementary measurements were carried out at the Petra III synchrotron in Hamburg.
Click figure to enlarge
Fig. 1: Atomic structures of the two newly discovered Pb3(C3N6) polymorphs. (a) The tP48-Pb3(C3N6) phase and (b) the hP72-Pb3(C3N6) phase. The planar hydrogen-free [C3N6]6− melaminate anions (brown = C, light blue = N) are coordinated by Pb2+ cations (grey).
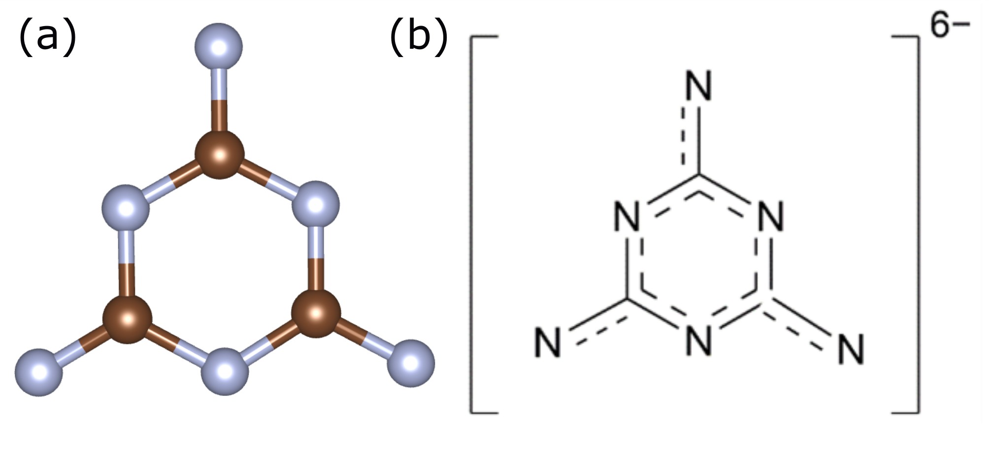
Both phases contain the long-sought [C3N6]6− anion (Figure 2) – the first experimental realisation of a hydrogen-free melaminate. In this anion, carbon and nitrogen atoms alternate around a fully conjugated triazine ring (C3N3), with nearly identical C–N bonds lengths and three terminal C-N bonds.
Click figure to enlarge
Fig. 2: (a) A representation of the deprotonated melaminate (C3N6)6- anion found in both tP48-Pb3(C3N6) and hP72- Pb3(C3N6). (b) Resonance form of the deprotonated melaminate anion.
The two polymorphs differ in the arrangements of these melaminate units: in tP48–Pb3(C3N6), the anions exhibit an offset π-stacking pattern, whereas in hP72–Pb3(C3N6) they adopt a chiral, helical stacking pattern – an architecture not previously observed in melamine-derived materials. Both structures are non-centrosymmetric and stable at ambient pressure and temperature.
Density functional theory calculations confirmed the experimental structures and provided further insights into their electronic and optical properties. Both Pb3(C3N6) polymorphs are predicted to be direct, narrow-gap semiconductors, with calculated bandgaps around » 2 eV.
They also show strong ultraviolet absorption, suggesting potential optoelectronic applications. Their non-centrosymmetric nature could give rise to piezoelectric, pyroelectric, or nonlinear optical effects. Although practical applications remain distant, these findings open a new avenue in the search for exotic, stable, and electronically tunable materials formed under extreme conditions.
On a fundamental level, this discovery fills a missing link in the family of carbon–nitrogen anions. The formation of the fully deprotonated melaminate represents a crucial intermediate between small molecular anions such as cyanamide ([CN]−) or guanidinate ([CN3]5−), and extended carbon–nitrogen frameworks [2,3]. This work also demonstrates how high-pressure, high-temperature synthesis, coupled with state-of-the-art synchrotron techniques, can reveal entirely new regions of chemical space.
Principal publication
High-Pressure Synthesis of Two Pb3(C3N6) Polymorphs Featuring Fully Deprotonated [C3N6]6− Melaminate Anions, U. Ranieri et al., J. Am. Chem. Soc. 147, 35431-35437 (2025); https://pubs.acs.org/doi/10.1021/jacs.5c09198
References
[1] D. Chen et al., J. Am. Chem. Soc. 145, 6986-6993 (2023).
[2] A. Aslandukov et al., J. Am. Chem. Soc. 146, 18161-18171 (2024).
[3] L. Brüning et al., Angew. Chem. Int. Ed. 62, e202311519 (2023).
| About the beamlines: ID11 and ID15B |
|
Beamline ID11 specialises in high-energy X-ray diffraction (XRD) and imaging for materials science. The beamline has been upgraded with the addition of a nano-resolution station located 100 metres from the source, enabling diffraction measurements with very high spatial resolution (< 100 nm). ID11 offers a comprehensive suite of X-ray diffraction techniques, including 3DXRD, diffraction contrast tomography, diffuse X-ray scattering, imaging, pair distribution function (PDF) analysis, and powder diffraction. The beamline supports the analysis of a wide range of samples, from amorphous and powder materials to polycrystals and single crystals with sample size ranging from nano- to micro- to larger-scale specimens. Beamline ID15B is dedicated to studying the structural properties of solids under high pressure using angle-dispersive XRD with diamond anvil cells. It operates at a photon energy of 30 keV for high-pressure experiments, delivering a flux of 1012 photons/s at 200 mA. The typical beam size at the sample position can be adjusted from collimated to focused, down to 5 × 5 µm2, and can be further reduced to 1 × 1 µm2 for experiments at megabar pressures. The station is equipped with a variety of sample environments, including multiple membrane-driven diamond anvil cells (0-100 GPa), a liquid He-cooled cryostat enabling high-pressure experiments at low temperatures (down to 4 K), and external resistive heating equipment for temperatures up to 1200 K. Additionally, an external Nd:YAG laser system is available for high-temperature annealing of samples inside the diamond anvil cell. |





