- Home
- Users & Science
- Scientific Documentation
- ESRF Highlights
- ESRF Highlights 2016
- Electronic structure, magnetism and dynamics
- Experimental realisation of single-atom magnets
Experimental realisation of single-atom magnets
The existence of single-atom magnets has been proven by X-ray magnetic circular dichroism. Monodisperse holmium atoms adsorbed on a nonmagnetic MgO thin film display magnetic hysteresis up to a temperature of 30 K and with a magnetic relaxation time of the order of 1500 s. This stability is exceptional for such tiny structures. This study unveils key factors to improve the stability of atom-sized magnets in a solid state environment.
Magnets possess both strength and memory. These two properties make them useful for a broad variety of applications, which involve action at a distance or retention of magnetic information. Yet, as a magnet is reduced in size, thermal fluctuations overcome the anisotropy barrier that keeps the magnetic axis stable, leading to the loss of permanent magnetisation.
Scientists have been working for a long time to define and reduce the size of permanent magnets down to the smallest possible limit. A recent study that we have carried out at the ESRF and SLS may have brought us to the end of this quest. Exceptional magnetic stability can be achieved by combining the properties of rare earth atoms, such as holmium, with that of a weakly-interacting but mechanically-stiff supporting thin film, such as a 1 nm thick MgO layer. Figure 7 shows the adsorption geometry of individual Ho atoms on the O sites of the MgO(001) lattice calculated by density functional theory (DFT) and probed by scanning tunnelling microscopy (STM).
![]() |
|
Fig. 7: Adsorption geometry of Ho atoms on a two-monolayer-thick MgO film deposited on Ag(100) as calculated by density functional theory (left) and measured by scanning tunnelling microscopy (right). |
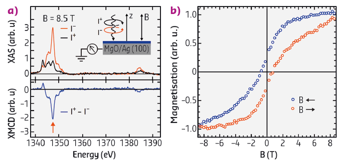
X-ray magnetic circular dichroism measurements at the M4,5 absorption edges of Ho (Figure 8a), carried out at beamline ID32, indicate that the Ho atoms possess a high magnetic moment in a magnetic field of 8.5 T and at 6 K. Surprisingly, hysteretic behaviour appears as the magnetisation is measured as a function of applied field (Figure 8b), revealing that the Ho atoms display magnetic remanence, just like a permanent magnet. Additional measurements, carried out at the SLS, show that magnetic hysteresis persists up to 30 K and correlates with the thickness of the MgO film. The magnetic relaxation time was found to be of the order of 1500 s or possibly larger, being limited by the X-ray photon flux used to probe the atoms. For comparison, the magnetic relaxation time in the most stable single molecule magnets reported to date is of the order of 1 ms at such temperatures.
![]() |
|
Fig. 8: a) X-ray absorption spectra and circular magnetic dichroism of an ensemble of individual Ho atoms adsorbed on MgO measured at the M4,5 Ho edges at 6 K in a magnetic field of 8.5 T. b) Magnetic hysteresis curve measured at 6 K. The dots represent the maximum of the XMCD signal indicated by the arrow in (a) recorded as a function of magnetic field. |
Ligand field multiplet calculations and density functional theory show that, due to the symmetry of the ligand field, the electronic ground state of the Ho atoms is a superposition of angular momentum states that is immune to quantum tunnelling and first order spin reversal processes. Furthermore, MgO is a stiff insulating material that provides insulation from both electrons and thermal vibrations, which are responsible for inducing spin-flips and destroying magnetic remanence in small structures. The combination of these features enables the realisation of long-lived magnetic states in atomic scale structures.
This work is the culmination of a long-standing project that begun 15 years ago at the ESRF, where the upgrade of beamline ID12 to ID08 and then to ID32 has led to the first experiments able to probe the magnetic ground state of monodispersed single atom arrays on surfaces [1-3]. Identifying the conditions that allow the stabilisation of the magnetic moment of an atom coupled to a solid state environment permits the manipulation of atomic spins using microwave fields and even dc electric currents, which is paramount for the development of model classical and quantum memory devices.
Principal publication and authors
Magnetic remanence in single atoms, F. Donati (a), S. Rusponi (a), S. Stepanow (b), C. Wäckerlin (a), A. Singha (a), L. Persichetti (b), R. Baltic (a), K. Diller (a), F. Patthey (a), E. Fernandes (a), J. Dreiser (a,c), Ž. Šljivančanin (d,e), K. Kummer (f), C. Nistor (a), P. Gambardella (a) and H. Brune (a), Science 352, 318 (2016); doi: 10.1126/science.aad9898.
(a) Institute of Physics, Ecole Polytechnique Fédérale de Lausanne (EPFL) (Switzerland)
(b) Department of Materials, ETH Zürich (Switzerland)
(c) Swiss Light Source, Paul Scherrer Institute, Villigen (Switzerland)
(d) Vinča Institute of Nuclear Sciences, Belgrade (Serbia)
(e) Texas A&M University at Qatar, Doha (Qatar)
(f) ESRF
References
[1] P. Gambardella et al., Phys. Rev. Lett. 88, 047202 (2002).
[2] P. Gambardella et al., Science 300, 1130 (2003).
[3] P. Gambardella et al., Nature Mater. 8, 189 (2009).





