- Home
- Users & Science
- Scientific Documentation
- ESRF Highlights
- ESRF Highlights 2013
- Electronic structure and magnetism
- Local atomic structure of cerium-based bulk metallic glasses under extreme conditions of pressure and temperature
Local atomic structure of cerium-based bulk metallic glasses under extreme conditions of pressure and temperature
Bulk metallic glasses (BMGs) are of growing interest worldwide due to their remarkable physicochemical properties with regard to their crystalline counterparts. These amorphous materials combine the electric conductivity of metals with glassy structural disorder, thus hold promise for industrial products with outstanding performance.
Recently, rare earth based metallic glasses have been found to display thermo-plastic behaviour with very low glass transition temperature (Tg < 373 K) and low Young’s modulus in comparison to classical amorphous matter [1]. At room temperature, these alloys are strong (elastic strain of 2 % [2]) and brittle. However, in their supercooled-liquid state, these materials can be repeatedly shaped into very fine structures down to the nanometre-scale, which is of great interest for micro electromechanical systems or nanotechnology applications such as high density data storage [3].
The cerium based metallic glasses (Ce-BMGs) exhibit polyamorphism under pressure (phase transition between amorphous phases with change of density and local structure at transition). This transition, unexpected in such spatially compact systems, leads to structural changes under pressure which were not clearly identified. Furthermore, the role of the cerium constituent during this transition seems decisive but only a few studies report the link between the properties of the pure cerium and the polyamorphism in the Ce-BMGs [4,5].
![]() |
|
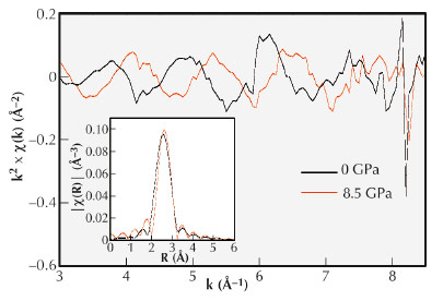
Fig. 97: Ce60Al20Cu20 EXAFS functions at ambient pressure (low density amorphous) and 8.5 GPa (high density amorphous). Our analysis demonstrates that the difference of signal is not compatible with a uniform compression of the ambient pressure structure. Inset: the corresponding amplitude of the Fourier transform. |
Using X-ray techniques at high-pressure (0-15 GPa) at beamline BM23, we investigated polyamorphism in Ce69Al10Cu20Co1. EXAFS measurements at the Ce K-edge (40.4 keV) were carried out for the first time at high pressure on Ce-BMG, revealing important modifications of the cerium local environment (Figure 97 and Figure 98).
![]() |
|
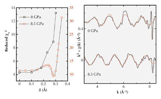
Fig. 98: Left: Evolution of the quality of the fits (reduced χ2) as a function of the splitting of the Ce-Ce distance in Ce60Al20Cu20 metallic glass (δ) for both the ambient (black) and the high pressure (red) data. Right: best fit (red) to EXAFS data (black) at ambient pressure (above) and 8.5 GPa (below). |
Results from this first set of EXAFS experiments provide direct experimental evidence that local structural changes occur in compressed Ce-rich BMGs that cannot be described by simple compression. We observe a structural rearrangement compatible with a splitting of the Ce-Ce shell, in agreement with numerical simulations [4]. These local structural changes are accompanied by modifications in the electronic structure, whereby the Ce 4f states acquire a more delocalised character. This polyamorphism involves an important Ce-Ce bond shortening at the transition (almost 10% from this data analysis) and is obviously electronically-driven by the 4f electron of cerium.
This last point is particularly interesting if observed from a crystal vs amorphous perspective. A previous study by our group [6], focused on the structural evolution of pure crystalline cerium along the γ → α transition induced by a 4f electronic delocalisation under pressure, demonstrated the existence of a critical point in the p, T diagram at the end of the γ → α transition line. Based on this unexpected behaviour, we carried out X-ray elastic diffusion measurements at high pressure and high temperature in order to compare the disordered phase diagram of the Ce-BMGs with that of pure crystalline cerium. Our study did not reveal a clear occurrence of such a critical point in the range of pressure/temperature probed (0-15 GPa, 300-340 K).
This work will encourage further investigations on Ce-based metallic glass phase diagrams in order to support, or even refute, the actual theoretical understanding of polyamorphism.
Principal publication and authors
L. Belhadi (a), F. Decremps (a), S. Pascarelli (b), L. Cormier (a), Y. Le Godec (a), S. Gorsse (c), F. Baudelet (d), C. Marini (b) and G. Garbarino (b), Appl. Phys. Lett. 103, 111905 (2013).
(a) IMPMC, Universite Pierre et Marie Curie, Paris (France)
(b) ESRF
(c) CNRS, ICMCB, Universite de Bordeaux, Pessac (France)
(d) Synchrotron SOLEIL, Gif Sur Yvette (France)
References
[1] E. Lutanie, Mater. today 12, 12 (2009).
[2] B. Zhang, D.Q. Zhao, M.X. Pan, W.H. Wang and A.L. Greer, Phys. Rev. Lett. 94, 205502 (2005).
[3] G. Marsh, Materials Today 6, 38 (2003).
[4] H.W. Sheng, H.Z. Liu, Y.Q. Cheng, J. Wen, P.L. Lee, W.K. Luo, S.D. Shastri and E. Ma, Nature Mater. 6, 192 (2007).
[5] M. Duarte, P. Bruna, E. Pineda, D. Crespo, G. Garbarino, R. Verbeni, K. Zhao, W. Wang, A. Romero and J. Serrano, Phys. Rev. B 84, 224116 (2011).
[6] F. Decremps, L. Belhadi, D. Farber, K. Moore, F. Occelli, M. Gauthier, A. Polian, D. Antonangeli, C. Aracne-Ruddle and B. Amadon, Phys. Rev. Lett. 106, 065701 (2011).





