- Home
- Users & Science
- Scientific Documentation
- ESRF Highlights
- ESRF Highlights 2000
- Materials
- Anomalous Co Segregation and its Influence in the Magnetoresistance of CoxCu100-x Granular Alloys
Anomalous Co Segregation and its Influence in the Magnetoresistance of CoxCu100-x Granular Alloys
The phenomenon of giant magnetoresistance has attracted great attention given its promising capabilities for information storage systems and sensor technology. Granular Co-Cu systems present giant magnetoresistance (GMR) [1]. At room temperature, the solubility of Co in Cu is practically negligible, however special preparation methods, allow the preparation of a metastable solid solution. After thermal treatment, a more stable situation is achieved by the precipitation of small Co clusters in the Cu matrix, which gives rise to the so-called granular alloys. Developing theories propose that the GMR arises from the spin-dependent scattering that takes place mainly at the interface between the granule and the matrix.
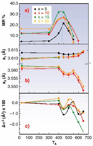
The combination of high resolution XRD and EXAFS spectroscopy has allowed us to study the evolution of the microstructure with the annealing temperature, TA, and its relation with MR in metastable CoxCu100-x (x = 5, 10, 15, 20) granular alloys prepared by a rapid quenching technique. The behaviour of the MR is very similar for all the alloys, reaching its maximum value after annealing at 450°C (Figure 98a) regardless of the composition. High-resolution XRD data, collected at beamline BM8 revealed the presence of two fcc phases, even in the as prepared samples with a Cu rich phase (a1) and a Co rich one (a2). Only the sample with x = 5 showed a unique Cu-rich phase. Both phases progress with TA, expulsing the foreign atom out of the matrix. Accordingly, the lattice parameters evolve toward the values expected for pure metals: aCu = 3.615 Å and aCo = 3.544 Å (Figure 98b). As for MR, the separation process is largely independent of sample composition, however, it is quite different in Co and Cu rich phases. In the Co-rich phase, an anomalous feature in the segregation process is well detected: the tendency of the lattice parameter to decrease is interrupted abruptly when annealing at 500°C. At the same temperature the MR starts to decrease. EXAFS spectroscopy on the Co K-edge permits a more profound insight into the evolution of the Co environment. The most relevant result is obtained from the Debye-Waller factor at 77 K (Figure 98c). For all the compositions, it presents an overall tendency to decrease, indicating that the Co atoms evolve towards a more ordered environment. Again, the decreasing behaviour stops at 500°C, for all the samples.
![]() |
Fig. 98: a) Saturation value of magnetoresistance at 10 K, b) lattice parameter and c) Debye-Waller factor (
|
The following model has been proposed: at lower temperature (TA < 450°C), the higher Co mobility permits the formation of Co-rich particles with the expulsion of Cu atoms. In the Cu rich matrix, this process produces small Co-rich particles surrounded by a Cu-rich shell. The lower mobility of Cu prevents the growth and/or coalescence of Co particles. This produces a magnetic particle embedded into a non-magnetic phase with a sharp interface, thus creating ideal conditions for the larger MR [2]. Cu mobility increases with raising TA, smoothing the interfaces and allowing the Co particles to coalesce into larger clusters. This suppresses the MR.
References
[1] A.E. Berkowitz et al., Phys. Rev. Lett. 68, 3745 (1992).
[2] S. Zhang and P. Levy, J. Appl. Phys. 73, 5315 (1993).
Principal Publication and Authors
M.L. Fdez. Gubieda (a), A. Garcia-Prieto (a), A. Garcia-Arribas (a), C. Meneghini (b,c) and S. Mobilio (c,d), J. Magn. Magn. Mat. 221, 80-86 (2000); Phys. Rev. Lett. Submitted.
(a) Universidad del Pais Vasco, Bilbao (Spain)
(b) INFM-GILDA c/o ESRF
(c) Universita di Roma Tre, Roma (Italy)
(d) Laboratori Nazionali di Frascati dell'INFN (Italy)




