- Home
- Users & Science
- Scientific Documentation
- ESRF Highlights
- ESRF Highlights 2010
- Soft condensed matter
- Multiple arrested states in colloidal clays
Multiple arrested states in colloidal clays
Dynamical arrest in soft colloidal systems has recently become the subject of intense research activity. Gels and glasses have been identified respectively at low and high concentrations. Interesting scenarios arise when, in addition to a short-ranged attraction, particles have a residual electrostatic charge that builds up a long-range repulsion in the effective potential. To investigate the formation of multiple arrested states, colloidal clays have emerged as suitable candidates. Laponite is a prototype system showing a very complex phase diagram because of the anisotropy of the particles, combined with the presence of attractive and repulsive terms in the interactions [1]. A subtle aging dynamics give rise to (at least) two final arrested states obtained by a simple increase of Laponite volume fraction from low (Cw < 2.0%) to high (Cw ≥ 2.0%) values in the absence of added salt [2]. More recently, the static properties of these two states have been investigated in detail [3], showing that while the low Cw state has an inhomogeneous character, the high Cw state is homogenous, allowing for the identification of these two arrested states, respectively, as gel and glass.
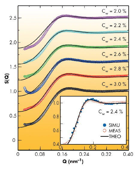
Here we report the structure factor S(Q) measured with small angle X-ray scattering at beamline ID02 together with theoretical and numerical calculations in the high concentration window, for 2.0 ≤ Cw ≤ 3.0% (Figure 54). The experimental data can be fully described, in terms of peak position, peak height and compressibility, by theoretical Sth(Q) by using a Yukawa potential, which accounts in an average way for the screened electrostatic repulsion between Laponite platelets or clusters. Numerical Snum(Q) obtained by Monte Carlo simulations of 200 discs at the same density as that extracted from the fits are also in good agreement with experimental and theoretical values, as shown by the inset of Figure 54. Hence, the combination of experiment, theory and simulation allows us to identify the observed arrested state at high concentrations as a Wigner glass stabilised by the residual electrostatic repulsion.
![]() |
|
Fig. 54: Comparison between measured SM(Q) (symbols) and theoretical Sth(Q) (lines) for several high concentration samples at tw~50 h. For clarity, curves have been shifted along the vertical axis progressively by 0.3. Inset: measured SM(Q) (open circles), theoretical Sth(Q) (lines) and simulated Sn(Q) (closed circles) for Cw = 3.0%. |
The same conclusion can be reached by performing the dilution experiment illustrated in Figure 55 for a low (Cw = 1.5% - upper panels) and a high (Cw = 3.0% - lower panels) concentration sample. Here the samples are left to age up to the final arrested states, respectively, of gel (G1) and glass (G2) nature for low and high concentrations [2]. After arrest takes place, water (L) is added and panels (a) and (d) show the identical situation for the two cases. However, the evolution of the two samples soon becomes dramatically different. The arrested state of the high-concentration sample (G2) starts to fluidify [panel (e)] to a final liquid state [panel (f)], while the low concentration sample does not show any macroscopic changes of its solid like state [panels (b) and (c)]. This experiment permits identification of the dominant interactions ruling arrest. When the arrest is generated by attraction, the presence of additional water does not affect it because the Laponite bonds (of strong electrostatic nature) cannot be broken. On the other hand, when the state is stabilised by repulsion, the increase of free volume allows a rearrangement of Laponite platelets on average to a larger distance. If the distance is larger than the characteristic repulsive length (namely the electrostatic Debye length), the glass is destabilised to melting to a liquid state. The different behaviour between the two samples upon dilution confirms the different nature of the two arrested states: a Wigner glass (G2) and a gel (G1), dominated, respectively, by repulsive and attractive interactions at high and low concentrations.
In conclusion, through the combination of SAXS and dilution experiments, theory and simulation, we have shown the presence of a disconnected Wigner glass state in a charged colloidal clay. This arises at a larger concentration with respect to the one where a gel network is found, thanks to the different time scales controlling the repulsive (short-time) and attractive (long-time) interactions.
Principal publication and authors
B. Ruzicka (a), L. Zulian (b), E. Zaccarelli (c), R. Angelini (a), M. Sztucki (d), A. Moussaïd (d) and G. Ruocco (e), Phys. Rev. Lett.104, 085701 (2010).
(a) IPCF-CNR, Dipartimento di Fisica, Roma (Italy)
(b) ISMAC, CNR, Milano (Italy)
(c) ISC-CNR, Dipartimento di Fisica, Roma (Italy)
(d) ESRF
(e) Dipartimento di Fisica, Roma (Italy)
References
[1] B. Ruzicka, E. Zaccarelli, L. Zulian, R. Angelini, M. Sztucki, A. Moussaid, T. Narayanan and F. Sciortino, Nature Materials 10, 56 (2011).
[2] B. Ruzicka, L. Zulian and G. Ruocco, Phys. Rev. Lett. 93, 258301 (2004); Langmuir 22, 1106 (2006).
[3] B. Ruzicka et al., Phys. Rev. E 77, 020402(R) (2008).





