- Home
- Users & Science
- Scientific Documentation
- ESRF Highlights
- ESRF Highlights 2009
- Structure of materials
- Following atomic diffusion by coherent X-rays
Following atomic diffusion by coherent X-rays
The movement of single atoms is at the core of each process in materials science. The diffusion of atoms underlies everything from the synthesis of materials to their deterioration. Knowledge about and understanding of atomic diffusion is therefore of vital importance. Here we show the first successful application of X-ray photon correlation spectroscopy (XPCS) to this problem.
Diffusion in solids has traditionally been studied by the radiotracer technique. This is a macroscopic technique, i.e. it is sensitive only to atomic displacements composed of many atomic jumps, and therefore only the diffusion constant can be measured. Microscopic techniques, however, aim at understanding atomic dynamics by measuring the frequency, length and direction of the elementary atomic jump. Existing microscopic techniques such as quasi-elastic neutron scattering (QENS) or Mößbauer spectroscopy can only measure very fast diffusion with jump frequencies in the MHz-range and they work only with special elements or isotopes. XPCS consists in scattering coherent X-rays at the sample and recording the temporal variations of the scattered intensity – the so-called speckle pattern – as a function of the wave vector transfer q. As this is a non-resonant method it is not bound to selected systems, and it can measure jump frequencies as low as one jump per hour.
In this study we investigated the atomic dynamics in Cu90Au10. In the temperature region around 540 K, this system forms a solid solution, but the proximity of the long-range ordered Cu3Au phase leads to certain atomic arrangements being energetically favoured compared to others. It was the goal of the experiment to investigate the influence of this effect on the dynamics.
The experiment was performed with partially coherent radiation at ID10A in transmission geometry. The sample was a thin single crystal. Time series of the scattered intensity I(q,t) at a given q and time t were taken with a CCD detector and evaluated via the standard intensity-intensity auto-correlation function:
![]()
where the average is taken over absolute time t and the pixels of the detector. The decay of the auto-correlation function was fitted as an exponential offset by 1 with a q-dependent correlation time
(q) (see inset of Figure 48).
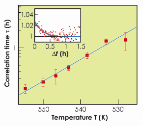
Figure 48 shows that the effect of temperature on the dynamics can satisfactorily be described by an Arrhenius relation, with a fitted activation enthalpy of 2.09 ± 0.15 eV.
![]() |
|
Fig. 48: Arrhenius plot of the correlation time as a function of temperature for fixed q with fit. Inset: Auto-correlation function of the measurement at 543 K. |
As the sample was a single crystal, rotating the detector around the direction of the incident beam for a fixed scattering angle (corresponding to same length, but different orientation of q) leads to variations of the fitted correlation time due to the discrete and directed nature of the atom jumps. This is shown in Figure 49 for a number of measurements, all with |q|=1.75 Å–1 but with varying azimuthal angle. A theory taking into account only the jump geometry of nearest-neighbour jumps (green line) cannot explain the data, however. This discrepancy is due to short-range order: following ref. [1], the correlation times due to the jump geometry have to be multiplied by the value of the static short-range order intensity. This gives the blue line in Figure 49, which fits the data satisfactorily. The only fitted parameter is the residence time, i.e. the average time between jumps for a given atom, with a value of 2200 s at 543 K. This is the first observation of the so-called de Gennes narrowing in crystalline media by XPCS, a phenomenon that is well known from measurements in liquids [2], and that is due to the longer life-time of energetically favoured configurations on the atomic scale compared to unfavoured configurations.
![]() |
|
Fig. 49: Variations of the measured correlation time as a function of the crystal orientation at 543 K (red squares) together with the predictions of a model neglecting (green line) and including (blue line) short-range order. |
In conclusion, our results show that XPCS is a viable method for measuring atomic diffusion, providing new insights into atomic dynamics. Thus XPCS is established as a complementary method to existing techniques such as QENS, which are restricted to jump frequencies in the MHz range.
References
[1] S.K. Sinha, D.K. Ross, Physica B 149, 51 (1988).
[2] C. Caronna, Y. Chushkin, A. Madsen and A. Cupane, Phys. Rev. Lett. 100, 055702 (2008).
Principal publication and authors
M. Leitner (a), B. Sepiol (a), L.-M. Stadler (b), B. Pfau (c) and G. Vogl (a), Nature Mat. 8, 717-720 (2009).
(a) Fakultät für Physik, Universität Wien (Austria)
(b) HASYLAB at DESY, Hamburg (Germany)
(c) Helmholtz-Zentrum Berlin für Materialien und Energie GmbH, Berlin (Germany)





