- Home
- Users & Science
- Scientific Documentation
- ESRF Highlights
- ESRF Highlights 2004
- Surface and Interface Science
- Chemically-resolved Structural Analysis of Sn/Ge(111) Surface
Chemically-resolved Structural Analysis of Sn/Ge(111) Surface
For tetrahedrally coordinated semiconductors, the various reconstructions commonly observed at their surfaces can be largely understood through the effect of Jahn-Teller or Peierls distortion, which suggests that a metallic termination is unstable against a lattice distortion that turns the surface semiconducting. Known examples include surface unit cells containing even numbers of unpaired electrons, such as the tilted dimers of the Si(001)-(2x1) surface.
The
phase of the Sn/Ge(111) surface (and a few others), on the other hand, represents a less clear but interesting case. The seemingly simple structure (Figure 100a, [1]) contains 1/3 of a monolayer (ML) of Sn, all occupying the T4 sites with one unfilled dangling bond per adatom. Depending on their vertical positions, the surface can exhibit a
3x
3 (e.g., h1 = h2) or 3x3 (h1
h2) symmetry. Low energy electron diffraction (LEED) shows that the former exists at room temperature (RT) and the latter appears upon cooling to temperatures below 200 K. Since the two phases have an odd number of half-filled dangling bond states per unit cell, they are both expected by a simple electron counting to be metallic. This immediately raises the question regarding the nature of this reversible transition, which has drawn broad attention in the past few years.
![]() |
|
Fig. 100: Structural model (a) and STM images (b, c) for the |
Despite extensive studies a complete understanding of the surfaces is not yet established. It was initially considered that the formation of surface charge density waves or a Mott insulator may explain this low temperature (LT) phase transition. But this has become questionable due to the lack of evidence supporting an energy gap opening at LT and Fermi surface nesting between the two phases.
Other observations were made by scanning tunnelling microscopy (STM) and core-level photoemission. For the 3x3 phase, bias-dependent STM reveals two types of Sn adatoms, which are also suggested by photoemission through the detection of a Sn 4d core-level shift. For the
3x
3 phase, the Sn 4d line shape remains unchanged, while all the adatoms appear equivalent in the STM images. These differences have led to a new model [2] proposing a buckled Sn layer for the RT phase, where the adatoms fluctuating vertically between the two equilibrium positions they are frozen into at LT. Such fluctuations do not necessarily change the
3x
3 symmetry in LEED, but imply that only time-averaged structures can be imaged by STM. However, surface X-ray diffraction study [1] has concluded with only one vertical Sn position for the RT phase.
In the present study we focus on exploring the Sn adatom structure behind the 4d core-level shift for the RT
3x
3 phase (Figure 100b) by measuring the photoelectrons excited by an X-ray standing wave (XSW) field. In addition to the high spatial resolution and chemical sensitivity, our approach also takes advantage of the fast process of photoemission in probing the equilibrium structures. Using this unique combination available at ID32 we succeeded in resolving simultaneously the core-level shift and the vertical split of the Sn positions. Our results provide clear evidence that directly links the chemical states of the adatoms with the structures.
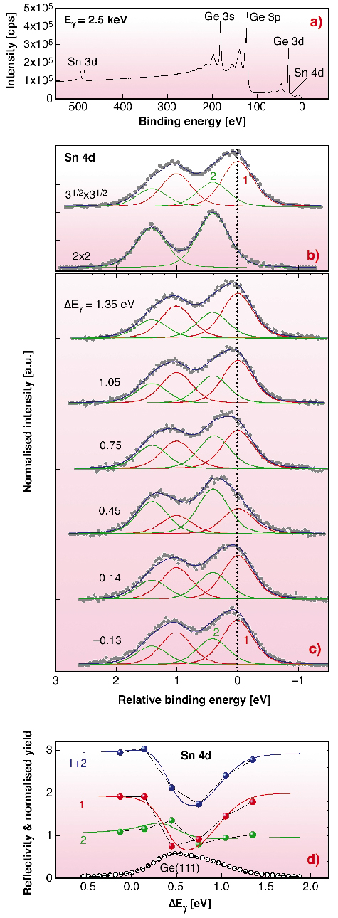
Figure 101a shows a typical photoemission spectrum recorded from a
3x
3 surface at an incident energy E
of 2.5 keV. To reliably analyze the 4d core-level shift for the
3x
3 phase, we use the 2x2 surface (Figure 100c), which forms at a Sn coverage below 0.2 ML and is known to have only one chemical component in the 4d spectrum, as a reference. A line-shape comparison between the two surfaces is presented in Figure 101b. The broadening of the peaks is clearly visible and thus confirms the presence of a second component for the
3x
3 phase. Figure 101c shows the XSW-modulated Sn 4d spectra recorded at six incident energies over 1.5 eV centered around the Ge(111) reflection. The XSW-induced line-shape variation in Figure 101c provides the first concrete evidence that links directly the origins of the two Sn 4d components to two non-equivalent sites. Further analysis of the integrated peak intensities (Figure 101d) unveils unambiguously that it is the lower (higher) binding energy component that is associated with the higher (lower) Sn (Figure 100a). We determine the vertical separation h1 to h2 to be 0.23 Å, in good agreement with the previous theoretical calculations.
![]() |
Fig. 101: Photoemission survey scans (a, b), XSW-modulated spectra (c) and XSW analysis of the integrated peak intensities (d). |
Our present XSW analysis supports a fluctuating Sn layer for the RT phase, as predicted by molecular dynamics simulations [2]. It also suggests that, as compared with the existing first-principle calculations, the lower (higher) binding energy 4d component has a filled (empty) state character. The core-level shift can be therefore explained as the result of a common initial-state effect.
References
[1] O. Bunk et al., Phys. Rev. Lett. 83, 2226 (1999).
[2] J. Avila et al., Phys. Rev. Lett. 82, 442 (1999).
Principal Publication and Authors
T.L. Lee, S. Warren, B.C.C. Cowie, and J. Zegenhagen, (2005) to be published.
ESRF





