- Home
- Users & Science
- Scientific Documentation
- ESRF Highlights
- ESRF Highlights 2002
- High Resolution and Resonance Scattering
- Intermediate Valence and Kondo Energy-scale probed by Resonant Inelastic X-ray Scattering
Intermediate Valence and Kondo Energy-scale probed by Resonant Inelastic X-ray Scattering
Mixed valence arises in strongly-correlated solids from the conflict between the natural tendency of electrons to form extended bands, and the opposing tendency to occupy atomic-like, localised states. This leads to spectacular physical properties including Kondo and heavy fermion behaviour as well as unconventional magnetism and superconductivity.
A typical manifestation of such many-body interactions in solids are small energy scales. In intermediate valence systems, like many cerium and ytterbium compounds, the characteristic scale is the energy separation between the hybrid singlet ground state and the first excited magnetic states, which defines the Kondo temperature TK. Photoemission could directly probe the Kondo scale, but is severely limited by its surface sensitivity, and results are highly controversial. In contrast, resonant inelastic X-ray scattering (RIXS) in the hard X-ray energy range is a truly bulk probe of electronic states. Like other resonant core-hole spectroscopies it is also element-specific and sensitive to the electronic configuration. These advantages are clearly demonstrated by a RIXS study of the typical Kondo system YbAgCu4.
The principle of the measurement is summarised in Figure 60. The ground state |
G> of YbAgCu4 is a coherent superposition of the Yb2+ (4f14, nh = 0) and Yb2+(4f13, nh = 1) configurations. At T = 0, the estimated number of 4f holes is nh = 0.87, and the valence is v = (2 + nh) = 2.87, but excited magnetic states (nh = 1) lying at an energy
~ kBTK above the ground state are thermally populated. As a consequence nh, and the valence, vary with temperature as a characteristic function of T/TK reflecting the existence of a Kondo scale [1]. Photon absorption at the Yb L3 edge (8.95 keV) leads to intermediate states of mainly 2p54f14dn+1 and 2p54f13dn+1 character, separated by 7 eV by the strong 4f-core hole Coulomb interaction. These states can decay radiatively to the L
1 RIXS final states 3d94f14dn+1 (2+) and 3d94f13dn+1 (3+). At beamline ID16, we measured these decay channels for excitation energies varying through the Yb L3 (2p3/2) absorption edge. The emitted radiation was analysed by a Si (620) Rowland circle spectrometer.
![]() |
|
|
Distinct 2+ and 3+ features are observed both in absorption (XAS) and RIXS spectra (Figure 61). They are resonantly and separately enhanced when the excitation energy h
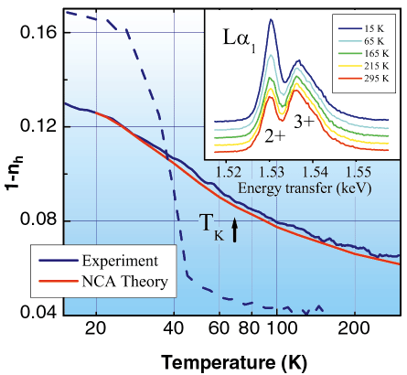
in is swept through the Yb L3 absorption edge. When the excitation energy is tuned to the 2+ XAS feature, the signal from the minority Yb2+ configuration dominates the spectrum. We followed continuously the temperature evolution of this signal. Its intensity, proportional to (1 - <nh(T)>), exhibits a 100% variation from 0.13 at 15 K to 0.065 at 300 K (Figure 62), revealing the existence of the underlying Kondo scale. The experimental curve is accurately reproduced by a calculation performed within the non-crossing approximation (NCA) for the Anderson Impurity Model (AIM). The fit yields a Kondo temperature TK = 70 K, which agrees well with indirect estimates from magnetic and thermodynamic data. For comparison, we show in the same figure the results of an analogous RIXS measurement on the isoelectronic compound YbInCu4. This material exhibits a first-order valence transition (from 2.96 to 2.83) at TC = 42 K, and therefore is not a typical Kondo system. As expected, the intensity of the 2+ signal suddenly drops at TC.
![]() |
|
|
The correspondence between bulk-sensitive RIXS results and thermodynamic properties confirms that the AIM is applicable to spectroscopic properties. It is remarkable that spectral changes, which are controlled by the small Kondo energy scale (~ 6 meV), are readily observed by RIXS in spite of the much larger excitation energy (~ 9 keV) and energy resolution (~ 1 eV). RIXS appears to be an extremely interesting probe of electronic configuration and strong correlations, with possible extension to studies of the electronic properties of solids under extreme conditions of pressure and magnetic fields.
![]() |
|
Fig. 62: Temperature dependence of the 2+ RIXS intensity in YbAgCu4, compared with an NCA calculation for TK = 70 K. Selected spectra show the temperature dependence (inset). The case of YbInCu4 (dashed line), which exhibits a valence transition at 42 K, is shown for comparison. |
References
[1] N.E. Bickers et al., Phys. Rev. B 36, 2036 (1987).
Principal Publication and Authors
C. Dallera (a), M. Grioni (b), A. Shukla (c), G. Vankó (c), J. Sarrao (d), J.-P. Rueff (e), D.L. Cox (f), Phys. Rev. Lett. 88, 196403 (2002).
(a) INFM - Politecnico di Milano (Italy)
(b) Ecole Polytechnique Fédérale de Lausanne (Switzerland)
(c) ESRF
(d) Los Alamos National Laboratory (USA)
(e) Université Pierre et Marie Curie, Paris (France)
(f) University of California, Davis (USA)






