Figure 97
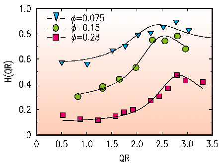
Fig. 97: Hydrodynamic functions H(QR) for charge-stabilised colloidal silica for three different concentrations ( = 0.075, 0.15 and 0.28).
The solid lines are guides to the eye.
| back to: Dynamics of Charge-Stabilised Colloidal Silica Suspensions Probed by Correlation Spectroscopy with Coherent X-rays |



