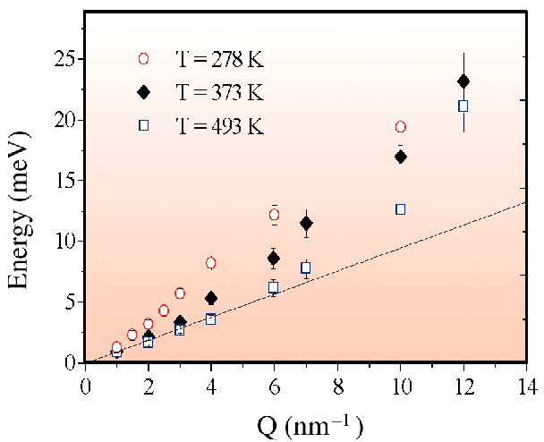
Figure 52
Fig. 52: Dispersion relation of the energy position parameter h as a function of Q at the indicated temperatures. The h
parameter has been obtained fitting the inelastic part of the IXS data to a damped harmonic oscillator model. The excitation values have been scaled by the factor co(278 K) / co(T), with co(T) obtained from the equation-of-state. This has been done to emphasise in the same plot the departure of the dispersion relation from the co(T) law, shown by the solid line, which is valid in the Q
0$ limit. This figure demonstrates that, in the dispersion relations, the transition from co to c
takes place at increasing Q values with increasing temperatures.
| back to: Experimental Determination of the Structural Relaxation in Liquid Water |



