Figure 38
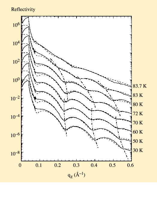
Fig. 38: Reflectivity of a multilayer argon film at different temperatures. The position of the fringes yield the thicknesses and their contrast yield the densities.
Fig. 38: Reflectivity of a multilayer argon film at different temperatures. The position of the fringes yield the thicknesses and their contrast yield the densities.