- Home
- Users & Science
- Find a beamline
- ID28 - Inelastic Scattering II
- Introduction to IXS
- Interaction Hamiltonian
Interaction Hamiltonian
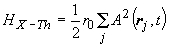
The Hamiltonian, describing the electron-photon interaction in a scattering process, is composed, in the weak relativistic limit, of four terms6. Neglecting resonance phenomena close to X-ray absorption thresholds and the much weaker magnetic couplings, only the term arising from the Thomson interaction Hamiltonian has to be retained:
where ro = e2/mec2 is the classical electron radius, and A(rj,t) is the electromagnetic field vector potential in the rj, coordinate of the jth electron. The sum extends over all the electrons in the system.
6. W. Schülke, “Inelastic scattering by electronic excitations”, in “Handbook on Synchrotron Radiation”, Vol. 3, ed. G. Brown and D.E. Moncton, Elsevier Science Publ., (1991).




