- Home
- Users & Science
- Scientific Documentation
- ESRF Highlights
- ESRF Highlights 2017
- Electronic structure, magnetism and dynamics
- Why apical oxygens play against high Tc superconductivity
Why apical oxygens play against high Tc superconductivity
The complex intertwining of structural, magnetic and electronic properties makes the superconductivity of cuprates a 30-year-old mystery. Using resonant inelastic X-ray scattering (RIXS) to map spin-wave dispersion, out-of-plane oxygen atoms have been found to localise the in-plane electronic wave function, ultimately lowering the maximum reachable superconducting transition temperature (Tc).
Superconductivity of Cu-based layered materials is the deepest mystery of solid state physics: 30 years of intense theoretical and experimental research have not told us what really gives cuprates such a high Tc. The problem is complicated by the fact that magnetic and electronic degrees of freedom are equally important and are strongly influenced by the quasi-2D structure of the system. The superconducting CuO2 planes are antiferromagnetic in parent compounds while their short-range spin correlation is preserved in superconducting doped materials. However, whether this has significance for the Tc is not known. Moreover, the out-of-plane coordination of Cu ions varies from family to family through the presence of apical ligands (usually oxygen). The influence of the apical ligands on the in-plane transport properties also remains a mystery. This work clarifies these two unknowns.
Resonant inelastic X-ray scattering (RIXS) at the Cu L3 absorption edge is probably the best technique to measure spin excitations in cuprates at all doping levels across the phase diagram, from antiferromagnetic insulating parent compounds to overdoped Fermi-liquid bad metals [1, 2]. The ERIXS spectrometer at beamline ID32 is currently the leading instrument for high-resolution RIXS and its unique capabilities have been fully exploited in this work. Here, the dispersion of spin-waves was carefully mapped along a symmetry-significant path in the first Brillouin zone, for three parent materials differing by the number of apical oxygen ions (see Figure 97, left panel): CaCuO2 (CCO) no apical oxygens, NdBa2Cu3O6+x (NBCO) one apical oxygen, Bi2Sr2-xLaxCuO6 (Bi2201) two apical oxygens. Data from the literature for La2CuO4 (LCO) with two apical oxygens was also considered [3].
![]() |
|
Fig. 97: In-plane momentum dependence of the magnetic excitations of antiferromagnetic layered cuprates measured by RIXS at the Cu L3 resonance. Spin-wave dispersion of heavily underdoped Bi2Sr2-xLaxCuO6 , undoped NdBa2Cu3O6+x, and CaCuO6, respectively, along the high-symmetry momentum trajectory indicated in the inset of (f). |
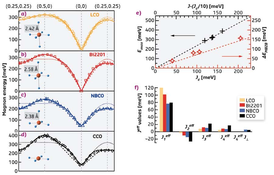
The comparison in Figure 98 confirms that the “average” super-exchange Cu-Cu interaction is always very strong, making the most of the spin excitation energy ≈ 300 meV in all materials: the ubiquity of strong antiferromagnetism is confirmed again. More interestingly, it is found that the dispersion along the Brillouin zone boundary (measured by the parameter ∆EMBZB) is strictly related to the number and distance of apical oxygens. The phenomenological analysis by different models confirms that apical oxygen ions tend to localise the exchange interaction to the first and second neighbours. This means that, more generally, hopping integrals follow the same rule, and that wave functions are more extended in-plane when apical ligands are farther away. Theory had previously posed that superconductivity is enhanced by larger long-range hopping integrals [4], therefore here a direct link between an important structural property of cuprates and their maximum Tc is revealed.
![]() |
|
Fig. 98: Dispersion of the spin excitations and comparison to model calculations. a-d) Experimental magnon dispersion along the high-symmetry direction in antiferromagnetic Bi2201, NBCO, CCO (RIXS) and LCO (INS) [3], as indicated, fitted using the nearest-neighbour Heisenberg (nnH) model (dotted line), the one-band Hubbard (1bH) model (dashed line) and the phenomenological linear spin-wave Heisenberg model with four nearest-neighbour coupling parameters (4Jeff) (thick line). The respective local coordination of the Cu ions is depicted in the insets. e) Linear dependence of Emax and ∆EMBZB versus the one-band Hubbard model parameters J and Jc. f) Effective parameters of the phenomenological spin-wave model based on four in-plane Jeff parameters. |
These findings explain why tri-layer structures have the highest Tc, as they reach the best compromise between hole doping and hopping extent. In materials with larger number of layers per unit cell, the transfer of doping holes to the CuO2 planes is strongly reduced by the absence of apical oxygens, and Tc decreases due to insufficient doping in the inner layers. Nevertheless, new ideas for engineering higher Tc superconductors may arise from these results.
Principal publication and authors
Influence of apical oxygen on the extent of in-plane exchange interaction in cuprate superconductors, Y.Y. Peng (a), G. Dellea (a), M. Minola (b), M. Conni (a), A. Amorese (c), D. Di Castro (d), G.M. De Luca (e,f), K. Kummer (c), M. Salluzzo (f), X. Sun (g), X.J. Zhou (g), G. Balestrino (d), M. Le Tacon (h), B. Keimer (b), L. Braicovich (a), N.B. Brookes (c) and G. Ghiringhelli (a,i), Nature Physics 13, 1201-1206 (2017); doi: 10.1038/NPHYS4248.
(a) Politecnico di Milano (Italy)
(b) Max-Planck-Institut für Festkörperforschung, Stuttgart (Germany)
(c) ESRF
(d) CNR-SPN Roma Tor Vergata (Italy)
(e) Università di Napoli Federico II (Italy)
(f) CNR-SPIN, Napoli (Italy)
(g) Institute of Physics, C.A.S. Beijing (China)
(h) Karlsruhe Institute of Technology (Germany)
(i) CNR-SPIN, Milano (Italy)
References
[1] L. Braicovich et al., Phys. Rev. Lett. 104, 077002 (2010).
[2] M. Le Tacon et al., Nature Physics 7, 725 (2011).
[3] N.S. Headings et al., Phys. Rev. Lett. 105, 247001 (2010).
[4] E. Pavarini et al., Phys. Rev. Lett. 87, 047003 (2001).





