- Home
- Users & Science
- Scientific Documentation
- ESRF Highlights
- ESRF Highlights 2017
- Electronic structure, magnetism and dynamics
- Probing magnetism in the vortex phase of an exotic plutonium superconductor
Probing magnetism in the vortex phase of an exotic plutonium superconductor
The PuCoGa5 unconventional superconductor contains plutonium atoms with a nonmagnetic ground state. Yet, magnetic or virtual valence fluctuations are suspected to provide the mediating boson leading to electron pairing. Using X-ray magnetic circular dichroism, the subtle changes in the plutonium magnetism were followed across the superconducting transition.
Superconductivity is a phase of condensed matter emerging when electrons form integer-spin bound pairs and condense into a single macroscopic quantum state. For most superconductors, the short-range, isotropic attraction provided by electron-phonon coupling provides the glue for electron pairing. However, several compounds are known for which a boson field different than the one associated with the vibrations of the crystal lattice is involved. One of these compounds is PuCoGa5.
With a critical temperature of 18.7 K, PuCoGa5 represents a distinctive category of superconductor, fitting into neither the heavy-fermion nor the high-Tc superconductivity paradigms. Magnetic or virtual valence fluctuations in proximity to a quantum critical point are suspected to have an important role in stabilising its superconducting ground state. Yet, the specific nature of the electron pairing in this exotic material is not understood.
A tile of the puzzle is the nonmagnetic state of the plutonium atoms reflected by the temperature-independent paramagnetism of the normal phase. State-of-the-art electronic structure calculations show that the local 5f magnetic moment is quenched by a combination of intermediate valence and hybridisation with the surrounding cloud of conduction electrons. In this model, the Pu atoms swing between the 5f5 and 5f6 configurations and the local magnetic moment fluctuates in time. However, compensating variations in the hybridised bath maintain a constant nonmagnetic ground state. An important question in this respect is whether such a perfect dynamic balance persists in the superconducting phase. The diamagnetic response associated with the Meissner effect prevents addressing this question by macroscopic magnetometry. It was therefore decided to exploit the possibilities afforded by X-ray magnetic circular dichroism (XMCD), a technique that is not, a priori, sensitive to diamagnetism, to quantify the Pu properties in the normal phase and in the vortex phase below Tc.
XMCD is a well-established tool to determine spin and angular moments (μS and μL) of a given atomic shell. This is achieved by using “sum rules” that correlate the integrals of dichroic spectra measured at two spin-orbit split absorption edges. Here, data were collected in the energy range 3.7-4.1 keV, across the plutonium M4,5 absorption edges (3d5/2 → 5f5/2 and 3d5/2 → 5f5/2,7/2 transitions). The experiment was performed at the ID12 beamline, using a single crystal containing almost isotopically pure 242Pu, a long-living isotope that strongly reduces self-irradiation damage, allowing the observation of the intrinsic properties of the compound.
![]() |
|
Fig. 94: XANES and XMCD spectra at the Pu M4,5 edges in PuCoGa5 at 2.1 K. Spin and orbital components of the magnetic moment are proportional to linear combinations of the integrated XMCD signals. The inset shows a picture of the single crystal sample used for the measurements. |
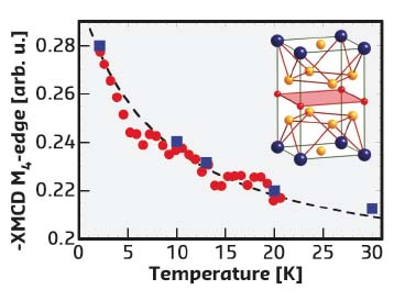
Figure 94 shows the spectra obtained at 2.1 K in a field of 17 T applied along the crystallographic c-axis after zero-field cooling from the normal phase. Below Tc, XMCD probes only atoms in the vortex phase, where a magnetic field that can polarise the atomic shells penetrates. Unexpectedly, the results show that μL increases significantly between 30 and 2 K, from 0.052(2) to 0.068(2) μB. The antiparallel spin component μS increases as well, leaving the total induced magnetic moment practically unchanged. The temperature dependence of the XMCD signal at the Pu M4 edge is shown in Figure 95. This quantity, proportional to μL-μS, increases monotonically from 30 to 2 K, with no anomaly around Tc (lowered to 15.4 K by the applied field). The increase of μS with decreasing temperature suggests that the Kondo-like screening responsible for the Pu singlet ground state starts to break down, possibly because of a change in the hybridisation of the 5f electrons with the conduction band.
![]() |
|
Fig. 95: Temperature dependence of the XMCD signal measured at the M4 absorption edge. Squares correspond to the integral of the XMCD spectra, whereas circles are the value measured at the peak energy (3968 eV). The inset shows the tetragonal crystal structure of PuCoGa5 (Pu: blue spheres; Co: red spheres; Ga: orange spheres). |
The results validate electronic structure calculations describing PuCoGa5 as a lattice of Pu Anderson impurities carrying a fluctuating local moment dynamically quenched by the hybridisation with conduction electrons. Understanding how these complex electronic dynamics are related to the formation of Cooper pairs is a significant challenge in the race towards room-temperature superconductivity.
Principal publication and authors
Probing magnetism in the vortex phase of PuCoGa5 by X-ray magnetic circular dichroism, N. Magnani (a), R. Eloirdi (a), F. Wilhelm (b), E. Colineau (a), J.C. Griveau (a), A.B. Shick (c), G. H. Lander (a), A. Rogalev (b) and R. Caciuffo (a), Phys. Rev. Lett. 119, 157204 (2017); doi: 10.1103/PhysRevLett.119.157204
(a) European Commission, Joint Research Centre (JRC), Directorate for Nuclear Safety and Security, Karlsruhe (Germany)
(b) ESRF
(c) Institute of Physics, ASCR, Prague (Czech Republic)





