- Home
- Users & Science
- Scientific Documentation
- ESRF Highlights
- ESRF Highlights 2013
- Dynamics and extreme conditions
- Competing instabilities and electron-phonon interaction in superconducting cuprates
Competing instabilities and electron-phonon interaction in superconducting cuprates
Superconductivity, a quantum state of matter, characterised by complete disappearance of electrical resistivity, still offers room for new insights, even more than 100 years after its discovery. In particular, a family of cuprates is the focus of our interest due to their high superconducting temperature Tc.
When there is nominally one electron per Cu atom in the CuO2 planes of a cuprate, their large Coulomb repulsion localises them in a so-called Mott-insulating state in which their spins order antiferromagnetically. When changing the charge carrier concentration of the planes, long range magnetic order is rapidly suppressed and is eventually replaced by superconductivity, through a mechanism that is not fully understood despite 27 years of intense research.
It has been realised that a variety of other ground states could exist in these doped Mott insulators, in particular at low doping levels where unusual spin and/or charge textures could form. Until recently, such phases (e.g. stripe phase, in which antiferromagnetically ordered regions are separated by charged domain walls) had been observed experimentally in only a few compounds and their universality questioned.
A recent experimental breakthrough came from the observation of two-dimensional, incommensurate fluctuations of the charge density in one of the most widely studied cuprates, YBa2Cu3O6+x, using NMR and state-of-the-art synchrotron based techniques [1-3].
Unambiguous signatures of competition of this incipient charge-density-wave (CDW) with superconductivity were further evidenced, offering a new playground for physicists to study the interplay between competing orders in these correlated-electron materials.
Among the issues of particular relevance, the role of the interaction between mobile charge carriers and lattice vibrations (phonons) has been a subject of long-standing debate and remains controversial. Whereas density-functional theory (DFT) predicts only weak electron-phonon interaction (EPI) in these materials, various anomalies in the dispersion relations of both electrons and phonons have been interpreted as evidence of an EPI strength far exceeding these predictions. However, it has proven difficult to disentangle the influence of the EPI on these anomalies from other factors including spin fluctuations and lattice anharmonicity.
The question whether strong electronic correlations substantially modify the EPI in the cuprates with respect to DFT therefore remains open, as do more general questions about the role of the EPI in driving high-temperature superconductivity and/or competing instabilities.
To gain new insight into these issues, we have studied the effect of CDW fluctuations and superconductivity on the lattice dynamics of underdoped YBa2Cu3O6.6.
To carry out this study, we first assembled a comprehensive map of the diffuse scattering intensity at beamline ID29, to identify the places of reciprocal space with the most intense X-ray signatures of CDW formation. In Figure 37 we show two examples of such maps taken in the (0,K,L) plane of reciprocal space at 295 K and 90 K. In the latter, we can clearly distinguish superstructures between the main Bragg peaks. The large variations of the satellite intensities across the reciprocal space reveal a complex structure factor of the CDW that had not been anticipated.
![]() |
|
Fig. 37: Diffuse scattering mapping of the Q = (0, K, L) plane at room temperature and at T = 90 K. White arrows indicate the CDW superstructure peaks. |
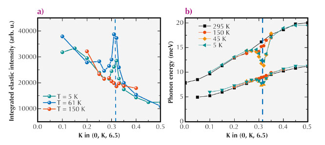
Then, we used inelastic X-ray scattering (IXS) with high energy resolution (at beamline ID28) around the CDW ordering wave-vector QCDW. The IXS intensity is proportional to the imaginary part of the charge susceptibility χ”(Q, ω). The momentum dependence of the quasi-static (elastic line at ω = 0) and dynamic (at finite ω, corresponding to phonons) components of the charge susceptibility can therefore be resolved (Figure 38).
![]() |
|
Fig. 38: a) Momentum dependence of the intensity of the central peak at T = 150, 90, 61 and 5 K. b) Dispersion of the two low-energy phonons along the Z-T direction at T = 295, 150, 45, and 5 K. |
At low temperature, we observed an enhancement of the elastic line, whose intensity at QCDW is maximised at the superconducting transition temperature, Tc, and persists over a wide temperature range above Tc. In analogy to classical work on structural phase transitions, we interpret the observation of this ‘central peak’ as evidence of a spatially inhomogeneous state in which lattice defects nucleate CDW nanodomains.
At finite energy, we observed pronounced anomalies in the dispersion of low-energy phonons, in particular a large superconductivity induced renormalisation that likely accounts for a large part of the total EPI.
The effect is, however, highly anisotropic and confined to a narrow window of momentum space. Its momentum-averaged strength appears therefore insufficient to be a significant driving force for superconductivity. The emerging picture is that the EPI favours a CDW instability that strongly competes with superconductivity and reduces the superconducting Tc at moderate doping levels.
Principal publication and authors
M. Le Tacon (a), A. Bosak (b), S.M. Souliou (a), G. Dellea (c), T. Loew (a), R.Heid (d), K.-P. Bohnen (d), G. Ghiringhelli (c), M. Krisch (b), and B. Keimer (a), Nature Phys. 10, 52-58 (2014).
(a) Max-Planck-Institut für Festkörperforschung, Stuttgart (Germany)
(b) ESRF
(c) Politecnico di Milano (Italy)
(d) Karlsruher Institut für Technologie (KIT) (Germany)
References
[1] T. Wu et al., Nature 477, 191-194 (2011).
[2] G. Ghiringhelli et al., Science 337, 821-825 (2012).
[3] J. Chang et al., Nat Phys 8, 871-876 (2012).





