- Home
- Users & Science
- Scientific Documentation
- ESRF Highlights
- ESRF Highlights 2014
- Structure of materials
- Revealing rapid dynamics in weld solidification
Revealing rapid dynamics in weld solidification
Welding is considered the most important and economical material processing route for joining metals. Welds are employed extensively to fabricate components and structures ranging from tiny electronic chips to massive ships and even for components operated under critical and demanding conditions such as in nuclear reactors. In fusion welding, metals coalesce via extremely rapid solidification processes which are critical to the structural integrity of the weld and often the origin of catastrophic weld failures. Enhanced insight on weld solidification is vital to prevent losses of lives and property [1], yet the inherent complexity, high temperatures and the rapidness of the welding processes make direct experimental investigations extremely demanding [2].
Polychromatic X-ray diffraction has been used in time resolved studies of rapid solidification microstructure evolution in situ during spot welding at beamline ID15A. Austenitic steel samples 2 mm thick were placed with the surface normal tilted 0.035 rad from the vertical axis towards an incident 50-150 keV white beam, and defined by upstream apertures to a cross section of 1 x 0.1 mm2 (H x V) at the sample. Weld pools of ~5.0 mm diameter and <1.5 mm depth were formed in a few seconds by focused radiation from halogen lamps. Solidification was initiated by powering off the lamps, and completed within 1.5 s. 2D data was collected in reflection geometry at 1.0 kHz frame rate with a PCO.dimax® CMOS equipped with an image intensifier, see Figure 136.
![]() |
|
Fig. 136: Schematic experimental setup. |
In the chosen experimental geometry, scattered intensities stemmed from the topmost ~140 µm of the weld pool, with the most prominent growth mode detected corresponding to columnar dendritic grains growing in the surface-near layer from the pool periphery towards the weld centre. In addition to crystal growth, a remarkable angular motion of diffraction spots were observed at the early growth stages, typically 3 - 4 orders of magnitude larger than that associated with thermal contraction of the solid at cooling rates of 3-400 K/s. Grain rotation is presumably driven by substantial melt convection in the pool. It is well known that very strong convection currents may arise during welding due to the extreme thermo-solutal conditions that apply, and a crude calculation indicate that flow velocities up to ~ 0.4 m/s can be expected in the fully molten pool for the case reported here.
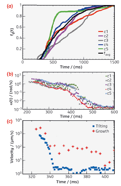
The data have been processed in terms of integrated diffraction spot intensities and angular positions to allow for information to be extracted on the growth of individual columnar crystals, overall solid fraction evolution and accompanying grain rotation dynamics (Figure 137 a, b). Correlation between the temporal evolutions in integrated intensities, grain motions and 2D diffraction spot areas pointed towards columnar crystal tilting at their attaching roots as the predominant mode of grain motion, and, by further data analysis, the tilting motion could be expressed in terms of metric velocities at the crystal tips. As illustrated in Figure 137c, when growth and tilting rates at the columnar tips are compared, crystal growth velocities and tilting velocities are found to be of the same order of magnitude, especially in the earlier stages of solidification. Thus, solute pile-up ahead of the columnar front should be effectively removed not only by strong convection, but also by tilting, such that growth at this stage should be substantially different from situations where only melt convection and diffusion are present.
![]() |
|
Fig. 137: a) Columnar (c) crystal volume evolution, c1-c5 denotes 5 different crystals, and favg presents the overall solid volume fraction. b) time-evolution of angular velocities for crystals c1-c5. c) evolution of growth and tilting velocities for one representative columnar crystal. |
Experimental data both in terms of individual grain growth and motion are novel in the case of welding or similar rapid solidification processing, and will be very useful for benchmarking of more realistic simulation models. Grain tilting has not been incorporated into present simulation models, although its presence may be quite readily recognised. Thus, the experimental results serve to stress that both melt flow and liquid to solid momentum transfer have to be addressed and accounted for in future theoretical work and simulation models for welding. Furthermore, quite similar experimental setups could be employed in the future for fast in situ XRD studies of real welding processes or other fast phase transformations under extreme conditions.
Principal publication and authors
W.U. Mirihanage (a), M. Di Michiel (b), A. Reiten (a), L. Arnberg (c), H.B. Dong (d) and R.H. Mathiesen (a), Acta Materialia 68, 159–168 (2014).
(a) Department of Physics, Norwegian University of Science and Technology, Trondheim (Norway)
(b) ESRF
(c) Department of Materials Science and Engineering, Norwegian University of Science and Technology, Trondheim (Norway)
(d) Department of Engineering, University of Leicester (UK)
References
[1] S.A. David and T. DebRoy, Science 257, 497 (1992).
[2] M. Yonamura et al., J. App. Physics 107, 013523 (2010).





