- Home
- Users & Science
- Scientific Documentation
- ESRF Highlights
- ESRF Highlights 2009
- Structure of materials
- Picosecond X-ray diffraction tracking of light-induced spin-crossover switching in a molecular material
Picosecond X-ray diffraction tracking of light-induced spin-crossover switching in a molecular material
Light can control macroscopic properties of materials such as magnetism, conductivity, ferroelectricity. How fast is such light-induced switching? Does this transformation simply result from laser heating? Which mechanisms stabilise the electronic excited state? These are the most intriguing questions concerning light-induced phenomena in materials and particularly so in the emerging field of photoinduced transformations [1].
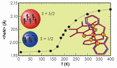
Spin-crossover crystals are prototypes of molecular bistability in the solid state. They may be switched from low-spin (LS) to high-spin (HS) states under various external perturbations, including temperature or light irradiation. Such a transformation is manifested by changes of magnetic, optical as well as structural properties such as intra-molecular swelling with a resulting volume expansion [2]. The average <Fe-N> bond length elongation in particular is a well proven fingerprint of increased spin multiplicity. For the [TPA]FeIII[TCC]PF6 crystal, studied here, it varies between 1.965 Å (LS) and 2.125 Å (HS) (Figure 50).
![]() |
|
Fig. 50 : Thermal spin-crossover associated with the change of molecular structure between HS (red) and LS (blue) states. |
While photoswitching of spin-crossover crystals driven by nanosecond laser pulses was observed in different compounds, the duration of the underlying processes remained unknown. By combining femtosecond (fs) optical spectroscopy and picosecond (ps) X-ray diffraction, it was possible to deduce a multi-step process initiated by a fs laser pulse: from sub-ps photoswitching up to the microsecond thermoswitching. Structural analysis sheds new light on the mechanisms that could explain the time domain data.
Optical spectroscopy demonstrated that molecules switch from LS to HS states within 1 ps and that every photon switches a single molecule. Subsequently the HS molecular fraction remains unchanged for another 100 ps. The corresponding variation of the HS molecular fraction (
XHS) modifies the molecular structure in the transient state, mainly affecting the Fe-N bonds. This feature was caught by a time-resolved crystallography study performed with 100 ps resolution at beamline ID09B (Figure 51a). While such elongation of Fe-N bonds of spin-crossover molecules was also observed in solution by ps X-ray spectroscopy, only X-ray diffraction from crystals made it possible to obtain a detailed 3D structural reorganisation. Our study clearly shows that this first step occurs at constant volume. The swelling of photo-transformed molecules, as well as the local heating caused by non-radiative energy dissipation of relaxing LMCT states, will both increase local pressure and consequently drive the propagation of volume expansion. It is demonstrated here that this second step associated with volume expansion occurs on a tens of ns timescale, in agreement with the sound velocity and sample size (10-100 µm) (Figure 51b). The third step results from the significant variation of the isotropic temperature factor (
B) observed in Figure 51c, which is a consequence of the temperature homogenisation process driven by heat diffusion: an additional transformation towards the HS state is observed on the µs timescale. This is the expected timescale for thermal activation across the energy barrier. It is therefore clear that this last step is associated with thermal switching effects due in particular to the increase of the average temperature. Both steps leave their imprints on the time course of the molecular fraction of HS molecules (Figure 51a).
![]() |
|
Fig. 51: Structural signatures associated with the different steps of the switching process: a) intramolecular deformation (Fe-N bond), b) unit cell parameter a, c) isotropic temperature factor. |
The present results reveal the out-of-equilibrium dynamics (Figure 52) and underpin the complex switching pathway from the molecular to material length and time scales. Such detailed X-ray diffraction analysis of ultra-fast dynamical processes driven by a fs laser flash has set the stage for the new age of ultrafast crystallography.
![]() |
|
Fig. 52 : Schematic drawing of the out-of-equilibrium dynamics: HS molecules (red circles) generated within 1 ps by a laser pulse in the cold (blue) lattice with mainly LS molecules (blue circles), warm lattice (red) expansion on 10s ns, thermal stabilisation of HS population within µs. |
References
[1] M. Buron & E. Collet. Editors Second International conference on Photoinduced Phase Transitions, J. Phys: Conf. Series. 21 (2005).
[2] E. Collet, M.L. Boillot, J. Hebert, N. Moisan, M. Servol, M. Lorenc, L. Toupet, M. Buron-Le Cointe, A. Tissot and J. Sainton, Acta Cryst. B65, 474-480 (2009).
Principal publication and authors
M. Lorenc (a), J. Hébert (a), N. Moisan (a), E. Trzop (a), M. Servol (a), M. Buron-Le Cointe (a), H. Cailleau (a), M.L. Boillot (b), E. Pontecorvo (c), M. Wulff (c), S. Koshihara (d) and E. Collet (a), Phys. Rev. Lett. 103, 028301 (2009).
(a) Institut de Physique de Rennes, Université de Rennes1-CNRS, Rennes (France)
(b) Institut de Chimie Moléculaire et des Matériaux d’Orsay, CNRS, Orsay (France)
(c) ESRF
(d) Tokyo Institute of Technology, Tokyo (Japan)






