- Home
- Users & Science
- Scientific Documentation
- ESRF Highlights
- ESRF Highlights 2005
- Materials Science
- Shear Strain in Nd0.5Ca0.5MnO3 at High Pressures
Shear Strain in Nd0.5Ca0.5MnO3 at High Pressures
Shear Strain in Nd<sub>0.5</sub>Ca<sub>0.5</sub>MnO<sub>3</sub> at High Pressures
Colossal magnetoresistance (CMR) indicates that the electrical resistance of a material changes dramatically on application of a magnetic field. This property is related to a phase transition involving both magnetic and lattice degrees of freedom that may be triggered by changing either temperature or magnetic field. An important class of CMR materials is formed by the manganites L1-xAxMnO3 (L = trivalent rare earth; A = divalent alkaline earth; 0 < x < 1) with a distorted perovskite-type structure [1]. Depending on composition and temperature, rich phase diagrams have been discovered, involving phases with differently distorted crystal structures interacting with various states of magnetic order and charge order. The intricate relationship between spin, charge, orbital and lattice degrees of freedom is generally recognised as the origin of this wide variety of properties within this class of simple compounds [2]. However a quantitative understanding has not yet been achieved between physical properties of CMR manganites and their chemical compositions and crystal structures.
![]() |
|
Fig. 34: Pressure dependence of (a) lattice parameters, and (b) lattice strain (WD). |
In order to uncover the delicate variations of atomic arrangements, we have studied the pressure dependence of the crystal structure of the half-doped manganite Nd0.5Ca0.5MnO3. A polycrystalline sample was loaded into a diamond anvil cell (DAC). X-ray powder diffraction was measured at beamline ID9a, employing a MAR image plate detector. Diffraction has been collected at selected pressures up to p = 15 GPa. Both the lattice parameters and the atomic coordinates were determined at each pressure by Rietveld refinements against the diffraction data. The lattice strain of the orthorhombic structure can be characterised by a distortion index WD, that is defined as WD = 1/3
|ai-a0|/ai with a0 = (a1a2a3)1/3 and ai (i = 1,2,3) being the appropriately scaled lattice parameters. The pressure dependence of WD has a minimum at p* ~ 7 GPa, that is the same pressure at which a crossover occurs from a > c for p < p* towards a < c for p > p* (Figure 34). These results suggest two regimes. For p < p* increasing pressure reduces the distortion, while for p > p* increasing pressure enhances the distortion.
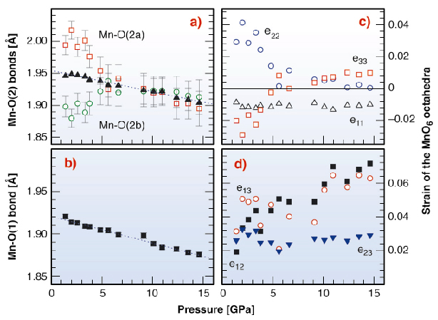
Distortions of crystal structures of CMR manganites are usually characterised by tilt rotations and Jahn-Teller (JT) distortions of the MnO6 octahedral groups. Lattice strain is considered to be the result of combining both modes of distortion. Figure 35a,b shows that Mn-O bond lengths evolve towards each other up to p = p*, indicating a decrease of the JT distortion on increasing pressure. For p > p* the JT distortion is small and independent from pressure. As the tilt does not depend on pressure, these results fail to explain the increase of WD for pressures beyond p*. Instead, the off-diagonal components of the local strain tensor indicate that shear strain of the MnO6 groups develops for p > p* (Figure 35c,d). Shear strain corresponds to bond angles O-Mn-O being different from 90 degrees (see the publication for details). It is thus found that a single state of lattice distortion (single value of WD) can be achieved alternatively by compressive strain (JT type distortion) of MnO6 groups at low pressures or by shear strain at high pressures.
![]() |
|
Fig. 35: Pressure dependence of (a) bond lengths of the two equatorial Mn-O bonds, (b) the apical Mn-O bond, (c) diagonal elements of the local strain tensor (eii), and (d) off-diagonal elements eij. |
In conclusion, we have found that shear strain of MnO6 octahedral groups develops at high pressures in Nd0.5Ca0.5MnO3. Shear strain is important, because it necessarily leads to a decrease in the overlap between eg orbitals of Mn and p orbitals of oxygen, and hence it provides a mechanism for the localization of the conduction electrons in CMR manganites. Therefore, shear-type distortions would always lead to more insulating behaviour, but they could also affect the magnetic interactions that involve eg and t2g orbitals on Mn, and p orbitals on O. Thus, any amount of shear strain will be important for the correct understanding of structure-properties relations in CMR manganites. The precise role of shear strain in other manganites is yet to be established.
References
[1] Nanoscale Phase Separation and Colossal Magnetoresistance The Physics of Manganites and Related Compounds. E. Dagotto (Ed.), Springer (2003).
[2] A.J. Millis, Nature 416, 518 (2002).
Principal Publication and Authors
A. Arulraj (a), R.E. Dinnebier (b), S. Carlson (c), M. Hanfland (d) and S. van Smaalen (a), Phys. Rev. Lett. 94, 165504 (2005).
(a) Laboratory of Crystallography, University of Bayreuth, Bayreuth (Germany)
(b) Max Planck Institute for Solid State Research, Stuttgart (Germany)
(c) MAX-lab, Lund University (Sweden)
(d) ESRF





