- Home
- Users & Science
- Scientific Documentation
- ESRF Highlights
- ESRF Highlights 2004
- Materials Science
- Revealing Dynamics in Alloys by X-ray Photon Correlation Spectroscopy
Revealing Dynamics in Alloys by X-ray Photon Correlation Spectroscopy
Scattering of coherent X-rays at a disordered sample produces a highly-modulated diffraction pattern, a so-called speckle pattern. Such a graininess shows up in the superstructure peak of an alloy if antiphase domains are present in the coherently illuminated single crystalline sample volume [1]. Dynamics in the sample gives rise to intensity fluctuations I(t) in the speckle pattern that are measured and analysed by evaluating the correlations in the signal. Hence the name X-ray photon correlation spectroscopy. Usually the autocorrelation function of I(t) is calculated to gain information about the underlying dynamics, which works extremely well in the case of fast dynamics. In the case of slow dynamics, however, fluctuation analysis [2] and its extension, detrended fluctuation analysis (DFA), respectively, turns out to be a more appropriate approach. The big advantage of DFA is the ability to "detrend" the data, i.e. to account for spurious correlations caused, for example, by a non-constant overall intensity or small drifts in the experimental setup during the measurement. Thereby, trends of order n-1 in the data are removed by DFAn, i.e. DFA1 removes stepwise constant trends, DFA2 stepwise linear trends and so on.
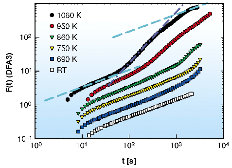
At ID10A, we performed XPCS measurements of antiphase domain dynamics in the B2-ordered Co60Ga40 intermetallic phase. Figure 40 shows the (100) superstructure peak at room temperature, where no dynamics is measurable and thus a pronounced static speckle pattern is obtained. For investigating dynamics the sample was measured at temperatures between 690 K and 1060 K. Time series of CCD images were taken and evaluated using DFA up to the third order (DFA3). In doing so, so-called fluctuation functions F(t) are calculated. By fitting a power law F(t)
t
the fluctuation exponent a is obtained, characterising the correlations. Here, we are mainly interested in distinguishing two types of fluctuation-scaling behaviour, uncorrelated behaviour (
= 0.5) and random walk (RW) behaviour (
= 1.5). The latter is introduced by the internal dynamics of the sample. Movement of antiphase boundaries is accomplished by diffusion of atoms at the antiphase boundaries. Since the diffusing atoms perform a RW the phases of successively scattered photons also perform a RW, which manifests in RW fluctuations of the speckle intensities.
![]() |
|
Fig. 40: Sum of two hundred CCD images of the (100) superstructure peak of Co60Ga40 at room temperature (no dynamics present). The green line shows a slice (Qx = 0) through the peak exhibiting strong intensity fluctuations. The dashed blue line indicates a Gaussian fit to the intensity distribution this would be the result of scattering with conventional, incoherent X-rays. |
Figure 41 shows the DFA3 fluctuation functions obtained for the (100) superstructure peak. For elevated temperatures RW behaviour is obtained on long timescales. Due to an incoherent background, uncorrelated fluctuations dominate on shorter timescales. At the three highest temperatures, a tendency for uncorrelated behaviour can also be found on the longest timescales measured. This is caused by the fact that every phase information is modulo 2
. Once an additional phase difference of 2
between interfering scattered waves is exceeded the situation becomes indistinguishable from the initial state and
= 0.5 is obtained again.
![]() |
|
Fig. 41: Fluctuation functions F(t) from third-order DFA of speckle intensity fluctuations in the (100) superstructure peak of Co60Ga40 at increasing temperatures, double-logarithmic plot. Slope |
The higher the temperature is, the earlier the RW correlations start to dominate the correlation behaviour. This temperature dependence gives access to the activation energy of the underlying process, the movement of antiphase boundaries. In good agreement with Monte Carlo simulation results, we find the migration energy for atoms diffusing at antiphase boundaries to be approximately a quarter of the migration energy for bulk diffusion of Co atoms that dominate the diffusion behaviour in the temperature range investigated.
In conclusion, we have successfully applied detrended fluctuation analysis to XPCS data. By following the dynamics in the superstructure peak of a Co60Ga40 single crystal as a function of temperature, we have determined the activation energy for the mobility of the antiphase boundaries. Our study underlines the potential of the method for investigations of slow dynamics in hard-condensed matter.
References
[1] M. Sutton, S.G.J. Mochrie, T. Greytak, S.E. Nagler, L.E. Bermann, G.A. Held, G.B. Stephenson, Nature (London) 352, 608 (1991).
[2] L.-M. Stadler, B. Sepiol, R. Weinkamer, M. Hartmann, P. Fratzl, J.W. Kantelhardt, F. Zontone, G. Grübel, G. Vogl, Phys. Rev. B 68, 180101(R) (2003).
Principal Publication and Authors
L.-M. Stadler (a), B. Sepiol (a), J.W. Kantelhardt (b), I. Zizak (c), G. Grübel (d,e), G. Vogl (a), Phys. Rev. B 69, 224301 (2004).
(a) Universität Wien (Austria)
(b) Martin-Luther-Universität Halle-Wittenberg (Germany)
(c) Hahn-Meitner-Institut Berlin (Germany)
(d) ESRF
(e) Deutsches Elektronen Synchrotron, Hasylab (Germany)





