- Home
- Users & Science
- Scientific Documentation
- ESRF Highlights
- ESRF Highlights 2002
- X-ray Absorption and Magnetic Scattering
- Location of Magnetic Springs in Exchange-coupled Superlattices
Location of Magnetic Springs in Exchange-coupled Superlattices
Magnetic exchange springs are artificially tailored magnetic domain walls: they develop in a material whose magnetisation is pinned locally, for instance by exchange coupling, but may be rotated by an external magnetic field far from the pinning centre. They are usually present in heterostructures combining a hard magnetic material with a soft one and are of great interest for permanent magnets and for spintronics. In these systems, the magnetisation reversal process is assumed to occur via the development of exchange springs in the soft material before the magnetisation of the hard one is reversed. However, the detailed mechanism remains unclear and is usually more complex, depending on the microstructure, the composition, and other factors.
Typical examples of exchange-spring magnets are DyFe2/YFe2 superlattices composed of alternating layers of a hard ferrimagnet (DyFe2) and of a soft ferromagnet (YFe2). Antiferromagnetic interactions at the interfaces in such heterostructures lead to a variety of novel phenomena: magnetic bias and exchange springs [1]. To unravel the mechanisms of magnetisation reversal one needs to know the behaviour of both hard and soft layers separately, which is not possible with conventional magnetisation measurements since it probes the whole superlattice. X-ray Magnetic Circular Dichroism, being inherently an element-selective technique, allows one to measure the magnetisation of DyFe2 and YFe2 layers independently and, therefore, to determine directly the location of magnetic springs. Layer-selective magnetisation curves were recorded at beamline ID12 by monitoring XMCD signals at both the Dy L3 and the Y L3 edges as a function of the applied magnetic field.
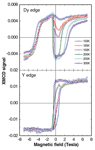
For superlattices with rather thick DyFe2 layers (>100 Å), the classical reversal process was observed. Whereas for a [DyFe2(50 Å)/YFe2(200 Å)] superlattice, the hysteresis loops show a drastic evolution from a low-temperature regime to a high-temperature regime (Figure 51). At temperatures below 100 K, a first step in magnetisation observed at a positive field is due to the expansion of magnetic springs in the soft layers as evidenced by magnetisation curve of YFe2 recorded at the Y L3 edge. A second step occurs at a large negative field and, from the magnetisation measured at the Dy L3 edge, is attributed to the irreversible switch of the hard layers. However, at 200 K, the superlattice magnetisation exhibits a completely different behaviour that can be unravelled from the compound-selective hysteresis loops. Indeed, it is a superposition of an almost square loop with a negative coercive field in YFe2, measured with Y L3-XMCD and an atypical loop recorded in DyFe2 with Dy L3-XMCD. The latter is described by three processes: (i) a smooth reversal in positive magnetic field, (ii) a sudden switch back, simultaneously with YFe2 magnetisation reversal, for a small negative field, (iii) the compression of magnetic walls at larger negative fields. This result unambiguously demonstrates that the magnetic domain walls are located in the hard compound.
![]() |
|
Fig. 51: Magnetisation curves of the [DyFe2(50 Å)/YFe2 (200 Å)] superlattice (a) at 100 K and (b) at 200 K. Top: macroscopic magnetisation (in red) superimposed on a linear combination of the hysteresis loops measured with XMCD at the Y and Dy L edges (in blue). Bottom: element-selective magnetisation curves measured at the Dy (blue) and Y (green) L3-edges. |
The thermal evolution of the reversal process (Figure 52) could be attributed to the thermal variation of the Zeeman and the magnetocrystalline anisotropy energies in the DyFe2 layers. At high temperatures, it becomes then more favourable that the YFe2 magnetisation remains along the applied field and the magnetic walls expand, due to interface-exchange coupling, in the hard DyFe2 layers.
![]() |
|
|
These experiments provide direct evidence of the exchange springs penetration into the hard layers, which is in contrast to the generally accepted point of view. This important observation is a first step in the elucidation of the mechanisms of magnetisation reversal and the thermal evolution of coercivity from positive to negative.
References
[1] K. Dumesnil, M. Dutheil, C. Dufour, Ph. Mangin, Phys. Rev. B 62, 1136 (2000).
Principal Publication and Authors
K. Dumesnil (a), C. Dufour (a), Ph. Mangin (b), A. Rogalev (b), Phys. Rev. B 65, 094401 (2002).
(a) Laboratoire de Physique des Matériaux (UMR 7556), Université Henri Poincaré, Vandoeuvre les Nancy (France)
(b) ESRF





