- Home
- Users & Science
- Scientific Documentation
- ESRF Highlights
- ESRF Highlights 2002
- X-ray Absorption and Magnetic Scattering
- Triple-q Octupolar Ordering in NpO<sub>2</sub>
Triple-q Octupolar Ordering in NpO<sub>2</sub>
For half a century the low temperature properties of NpO2 have mystified theorists and experimentalists alike. Upon cooling from room temperature, a single phase transition is observed at T0 ~ 25.5 K. However, earlier experiments gave (apparently) contradictory indications about the nature of this phase transition. While magnetisation and muon spin rotation experiments suggested an antiferromagnetic (AFM) nature of this phase transition, Mößbauer spectroscopy and neutron diffraction effectively ruled out AFM order by establishing an upper limit of ~ 0.01 µB for the ordered magnetic moment. Santini and Amoretti [1] pointed out the possibility of explaining the whole body of experimental evidence assuming magnetic-octupole order instead of magnetic dipole order. Furthermore, recent resonant X-ray diffraction (RXS) experiment [2] observed superstructure reflections with
= (0 0 1), similar to those found in the iso-structural AFM UO2. These reflections were assumed to be of magnetic origin and seemed to contradict the aforementioned neutron and Mößbauer findings. The absence of distortions [2] suggested a triple-
nature of the order.
![]() |
|
|
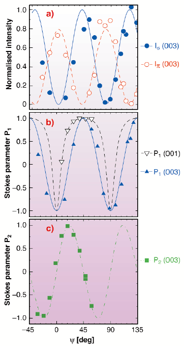
To clarify the above confusion, we have undertaken a new RXS experiment at ID20, the magnetic-scattering beamline. We performed polarisation analysis of the diffracted radiation and measured the dependence of the Np M4 resonant scattering on the azimuthal angle
(the angle describing the rotation of the crystal about the scattering vector). Our results (see Figure 55) show that the superlattice peaks in NpO2 are not due to a magnetic dipolar polarisation but rather to the asphericity of the vacant Np 5f orbitals. Indeed, the superlattice peaks signal the occurrence of electric quadrupole (EQ) long range order below T0, with the configuration shown in Figure 56.
![]() |
|
|
However, quadrupolar order alone is not a sufficient ingredient, as it cannot explain the absence of a disordered magnetic moment and the breaking of invariance under time reversal. The lowest-rank multipolar order parameter consistent with the experimental findings is a magnetic octupole (MO) [1]. Indeed, triple-
order of octupoles with
5 symmetry would induce the observed quadrupoles as secondary order parameter, and is thus compatible with all present and earlier experimental observations.
Whilst no direct evidence for a triple-
MO structure is available, the model does make testable predictions. Notably the energies of the crystal field levels can be estimated and experimentally investigated both directly through inelastic neutron scattering and indirectly through thermodynamic properties such as the specific heat.
References
[1] P. Santini and G. Amoretti, Phys. Rev. Lett. 85, 2188 (2000).
[2] D. Mannix et al., Phys. Rev. B 60, 15187 (1999).
Principal Publication and Authors
J.A. Paixão (a), C. Detlefs (b), M.J. Longfield (c), R. Caciuffo (d), P. Santini (e,f), N. Bernhoeft (g), J. Rebizant (c), and G.H. Lander (c), Phys. Rev. Lett. 89, 187202 (2002).
(a) Departamento de Física, Universidade de Coimbra (Portugal)
(b) ESRF
(c) European Commission, JRC, Institute for Transuranium Elements, Karlsruhe (Germany)
(d) INFM, Dipartimento di Fisica ed Ingegneria dei Materiali, Università di Ancona (Italy)
(e) Oxford Physics, Clarendon Laboratory (UK)
(f) Present address: INFM, Dipartimento di Fisica, Università di Parma (Italy)
(g) DRFMC, CEA Grenoble (France)

: (a) Intensity (b, c) Stokes parameters. The lines represent model calculations based on the orientation of quadrupoles shown in Figure 56.
m. The ellipsoids represent the orientation of the local symmetry axis at the Np position, not the actual charge distributions. The O atoms are shown as spheres.


