- Home
- Users & Science
- Scientific Documentation
- ESRF Highlights
- ESRF Highlights 2001
- Magnetism and Electronic Properties of Solid
- Coupling Between Spin and Orbital Order in KCuF3
Coupling Between Spin and Orbital Order in KCuF3
The interplay between charge, orbital and spin degrees of freedom is the key ingredient underlying the physics of transition-metal oxides. An ideal tool for studying the consequences of such a correlation is provided by resonant X-ray scattering (RXS), a process in which photons are virtually absorbed by exciting the core electron to empty states, and subsequently re-emitted when the excited electrons and the core holes recombine. We applied this technique to a pseudo-cubic perovskite KCuF3, where orbital order has been theoretically predicted below TOO = 800 K, and three-dimensional antiferromagnetism observed below TN = 38 K. The results show that magnetic order is driven by orbital ordering, and that the orbital order parameter acts as a hidden parameter of the magnetic transition.
The experiment was performed on ID20 at the Cu K-absorption edge. The sensitivity to magnetic order at the quadrupole threshold, 1s-3d, has its origin in the spin polarisation of the 3d states, whilst at the 1s-4p dipole transition-energy the resonant enhancement for magnetic reflections is due to the 4p-3d intra-atomic Coulomb interaction and to the mixing of the 4p with the 3d states of neighbouring Cu atoms. RXS is also sensitive to the occupancy of 3d valence orbitals, and has been used to probe long-range orbital order in several transition-metal oxides [1, 2]. Forbidden reflections become permitted due to the asphericity of the atomic electron density, giving rise to anomalous tensor susceptibility (ATS) components in the atomic scattering factor.
At the dipole resonance, superlattice reflections were observed at Bragg positions corresponding to a propagation vector <111> and, below TN, <001>. The former indicate an alternate occupation of 3dx2-z2 and 3dy2-z2 Cu2+ hole orbitals, the latter signal the occurrence of antiferromagnetic (AF) order. Both the magnetic and orbital peaks exhibit an oscillation with two-fold symmetry when the crystal is rotated around the scattering vector, as shown in Figure 101. The shift of 45° between the two curves is a direct proof that the Cu magnetic moments are directed along the [110] direction of the pseudocubic cell whilst the main contribution to orbital signal comes from the difference in px(y) density of states on the two sublattices (inset of Figure 101).
Fig. 101: Angular dependence of the magnetic (005) and orbital (331) intensities. Data were taken at 12K in |
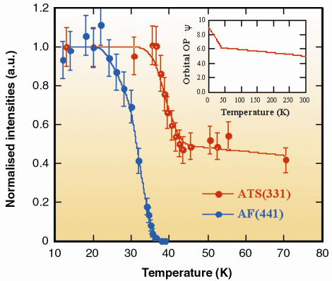
As T is lowered, no variations are observed for the charge peaks, neither in intensity nor in position and width. On the other hand, the intensity of the orbital peaks, which is practically constant down to 43 K, increases below this temperature and saturates below 38 K (Figure 102). A similar increase in intensity of the orbital peaks, in a temperature region where the orbital order parameter y is expected to be saturated, has been reported near TN for several manganites [2].
Fig. 102: Temperature dependence of the integrated intensity of the (331) orbital ordering peak (blue circles) and the magnetic (441) Bragg reflection (red circles). The qualitative behaviour of the orbital order parameter |
An account for the behaviour of vs T, can be given assuming that magnetic order is driven by orbital order, in the sense that the exchange constants between neighbouring atoms are determined by the relative orientation of the occupied orbitals. A simple Landau effective free-energy F, which assumes that TN is determined by the exchange constants and that those are in turn related to
, can be easily written as a function of
and the magnetic order parameter S. At high temperature, T > TOO, both
and S are zero. As T becomes smaller than TOO,
begins to grow, with S still vanishing until TN is reached. For T < TN, also S is non vanishing; the equation determining
is then modified, being given by the minimisation of F with respect to both order parameters. As shown in the inset of Figure 102, a steeper rise and a larger saturation value of
is obtained as the temperature further decreases below TN, in agreement with the experiment.
References
[1] Y. Murakami et al., Phys. Rev. Lett. 80, 1932 (1998); Y. Murakami et al., ibidem 81, 582.
[2] L. Paolasini et al., Phys. Rev. Lett. 82, 4719 (1999).
Principal Publication and Authors
L. Paolasini (a), R. Caciuffo (b), A. Sollier (a) P. Ghigna (c) and M. Altarelli (d), Phys. Rev. Lett., in press (2002).
(a) ESRF
(b) INFM and Dipartimento di Fisica, Università di Ancona (Italy)
(c) Dipartimento di Chimica Fisica, Università di Pavia (Italy)
(d) Sincrotrone ELETTRA, Trieste (Italy)



