Figure 80
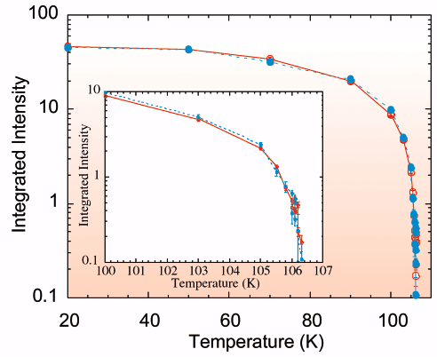
Fig. 80: Temperature dependence of the (0 0 16.5) magnetic reflection at the dipolar and quadrupolar resonances, taken at 6.719 keV (full circles) and 7.712 keV (open circles) respectively. The dipolar intensities have been multiplied by 2.4 for easier comparison..
| back to: 4f and 5d Magnetism in Samarium |



