Figure 75
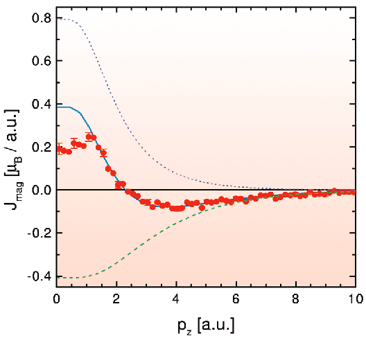
Fig. 75: The experimental magnetic Compton profile of SmMn2Ge2 (solid circles) at T = 40 K. The fit was performed for pz > 2 a.u., using RHF predictions for the Mn 3d (dotted line) and Sm 4f moment (dashed line), convoluted with a Gaussian with FWHM = 0.44 a.u. to represent the experimental resolution. The resultant curve is presented as a blue line.
| back to: Spin Moments in the Reentrant Ferromagnet SmMn2Ge2 |



