Figure 69
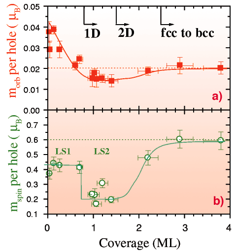
Fig. 69: Orbital (a) and spin magnetic moment (b) per hole as a function of the coverage. The solid lines are only to guide the eyes. The dashed lines correspond to the values for the magnetic moments commonly accepted for bulk bcc Fe. The arrows on the top scale at 0.8 ML, 1.5 ML and 2.5 ML correspond to the approximate coverages where the Fe starts to coalesce into a 1-D wire, reach the 2-D percolation and undergoes the fcc to bcc phase transformation, respectively.
| back to: The Magnetism of One-Dimensional Nanostructures Studied by Magnetic Circular Dichroism: Fe on Cu(111) |



