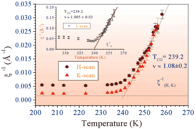
Figure 61
Fig. 61: The evolution of the inverse correlation lengths of the charge stripe satellite (4.66 0 5) along the H, and K directions. The data can be fitted to a power law
(t)-1 ∝ (T - Tco / Tco)
,
The inset shows the evolution and the best fit along the L direction.
| back to: Two-Dimensional Charge Stripes in La5/3Sr1/3NiO4 |



