Examples of applications
Hydrothermal fluids
This is the main area of research of the two scientists of the FAME staff: Jean-Louis HAZEMANN and Denis TESTEMALE. See their web page a Institut Néel for more details (in French).
Microbial Fe transformations under deep-subsurface pressure conditions
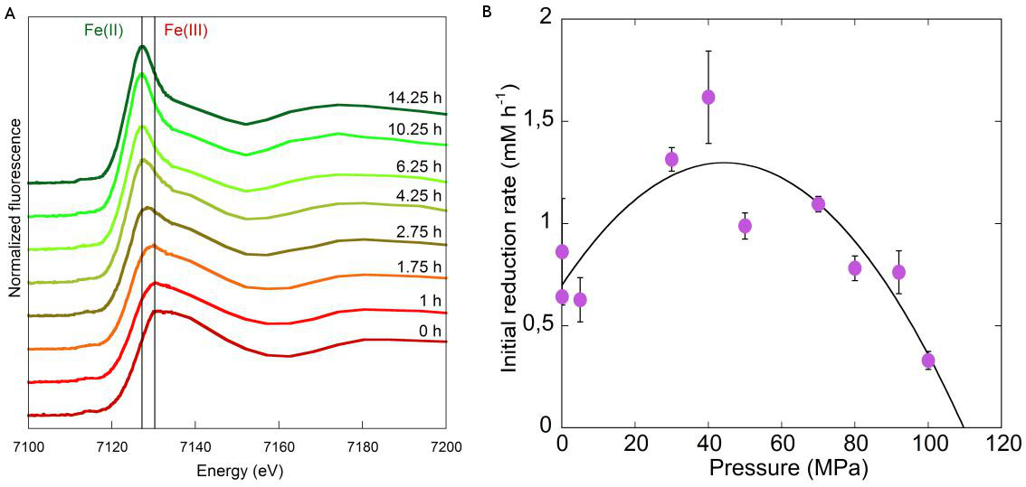
Microorganisms influence biogeochemical cycles from the Earth’s surface to the greatest depths of marine sediments. In deep surbsurface environments, pressure increases as a function of depth and certainly has a great influence on the distribution of microbial life. Yet the influence of pressure on survival and subsurface microbial activities has hardly been investigated. We recently developed a protocol to monitor microbial metal and metalloid transformations under pressure using XANES spectroscopy.1 We used this protocol to investigate bacterial Fe(III) reduction kinetics under pressure at the FAME beamline. We performed XANES measurements in bacterial cultures to monitor Fe(III) reduction as a function of pressure in the autoclave available at the beamline2 (Figure A). The bacterium Shewanella oneidensis MR-1 grows optimally at atmospheric pressure and stops growing at 50 MPa (i.e. MR-1 is pressure-sensitive). Nevertheless it can reduce Fe(III) to Fe(II) up to a pressure of 110 MPa. More importantly iron reduction rates are higher in the range 30-70 MPa than at 0.1 MPa (Figure B). Above 70 MPa reduction rate and extent concomitantly decrease with survival rate.3 The results of this study have implications for the functioning of deep subsurface microbial communities. “Surface” microorganisms transported to depth are potentially active and are able to take part to Fe and C transformations at moderate pressures. Unfortunately it is still unknown what the proportion of pressure-sensitive microorganisms is as opposed to the pressure-adapted ones. This study sets the stage for further studies of pressure-adapted microbes isolated from deep-subsurface environments.

Figure: (A)Fe K-edge XANES spectra measured in a culture of Shewanella oneidensis MR-1 incubated in the autoclave at 70 MPa and 30°C. (B) Initial iron reduction rates by Shewanella oneidensis MR-1 as a function of pressure. MR-1 is more active in the reange 30-70 MPa than at 0.1 MPa.
Authors and principal publication: Picard A.1,2, Testemale D.3, Hazemann J.-L.3, Daniel I.2, The influence of high hydrostatic pressure on bacterial dissimilatory iron reduction, Geochimica Cosmochimica Acta, 88 (2012) 120-129. 1Max Planck Institute for Marine Microbiology & MARUM Center for Marine Environmental Sciences, Bremen, Germany / 2 Laboratoire de Géologie de Lyon, Lyon / 3 Institut Néel & FAME Beamline, Grenoble, France
1 Picard A., Daniel I., Testemale D., Kieffer I., Bleuet P., Cardon H., Oger P.M., Monitoring microbial redox transformations of metal and metalloid elements under high pressure using in situ X-ray absorption spectroscopy. Geobiology 9 (2011) 196–204.
2 Testemale D., Argoud R., Geaymond O., Hazemann J.-L., High pressure/high temperature cell for x-ray absorption and scattering techniques. Review of Scientific Instruments 76 (2005) 043905.
3 Picard A., Testemale D., Hazemann J.-L., Daniel I., The influence of high hydrostatic pressure on bacterial dissimilatory iron reduction. Geochimica et Cosmochimica Acta 88 (2012) 120-129.
Kinetics and Thermodynamics of the Dissolution of Siderite at 300 bar between 50°C and 100°C
Iron-bearing minerals are reactive phases of the subsurface environment, among which siderite (FeCO3) is one of the most abundant. In the framework of CO2 deep geological storage, siderite plays a major role: either due to its presence in the reservoir rock where the injection might be done, or by constituting itself a trapping mineral phase for CO2 in deep aquifers. It is thus of utmost importance to precisely model the stability and dissolution kinetics of siderite under hydrothermal subsurface conditions.
The dissolution of siderite FeCO3 in acidic hydrothermal conditions (50-100°C, 300 bar, 0.1 M HCl) has been studied by X-ray Absorption Spectroscopy. The absorption spectra, at the Fe K-edge, measured on the aqueous solution in contact with the dissolving mineral, are the data on which our methodology is based, allowing:
-
determination of the dissolution rate of siderite, as a function of time, from the absorption value of the solution,
-
determination of the speciation of dissolved iron by comparing the absorption spectra with reference spectra of iron complexes in hydrothermal conditions,
-
in situ measurement (i.e., directly relevant to subsurface CO2 storage conditions), in a high pressure-high temperature autoclave which permits working with macroscopic samples (siderite samples are millimetric single crystals) + 50 mm³ of solution).
Using the molalities of FeII in the aqueous phase (Figure), a geochemical model is built using the Chess code1 from which kinetics rate constants are derived at each temperature, as well as the activation energy of the system. Thanks to this model, the distribution of iron aqueous species is also calculated, and compared with a very good agreement with the speciation derived from the XANES measurements (Figure). This XANES signal is characteristic of the hydration structure of dissolved iron, and it is interpreted thanks to a parallel study where the speciation of iron is determined as a function of temperature, pressure and chloride concentration by EXAFS analysis and XANES ab initio calculations.
Finally, the kinetics rate constants obtained in these closed-reactor pH-varying experiments are compared with values from the literature in recent experiments done at constant chemical affinity,2 with good agreement: this indicates that we can retrieve, from batch micro-reactor experiments conducted at synchrotron radiation facilities, kinetics parameters that can be coupled with spectroscopic speciation results. These data are now incorporated in geochemical codes modelling fluid-rock interactions under CO2 storage conditions.

Figure: (left): Iron molality as a function of time at 50 °C (a), 75 °C (b), 100 °C (c) for siderite dissolution at 300 bar and 0.1 m HCl. The experimental data points are shown as filled circles. The continuous lines are calculated with the Chess software using the dissolution rate constants measured in this study. (right): Comparison of XANES spectra obtained for hydrated Fe2+ (solid line) and at the end of the siderite dissolution experiment at 100 °C (dashed lines: without NaCl; filled circles: with 1 mol kg-1 NaCl). The three spectra are very close and mainly differ in the 7130–7150 eV region (pointed by the arrow), and slightly in the 7170–7200 eV region. All the spectra show the dominance of hydrated Fe2+ species and the differences are interpreted by minor occurrence of FeCl+ and/or FeCl2 species, more significant, as expected, in 1 mol kg-1 NaCl
Principal publication and authors: D. Testemale1, F. Dufaud2, I. Martinez2, P. Bénezeth3, J.-L. Hazemann1, J. Schott3, F. Guyot2,4, An X-ray absorption study of the dissolution of siderite at 300 bar between 50°C and 100°C, Chemical Geology, 259 (2009) 8-16. 1 Institut Néel and FAME/ESRF, CNRS, Grenoble (France), 2 CO2 storage research center. Institut de Physique du Globe, Paris (France), 3 Laboratoire de Mécanismes des Transferts en Géologie, CNRS-IRD-OMP, Toulouse (France), 4 Institut de Minéralogie et de Physique des Milieux Condensés, CNRS-Paris6-Paris7, Paris (France).
1 J. van der Lee, Technical Report LHM/RD/98/39, CIG, Ecole des Mines de Paris, http://chess.ensmp.fr/
2 S. V. Golubev, P. Bénézeth, J. Schott, J.-L. Dandurand, A. Castillo, Chem. Geol., 265 (2009) 13-19
Gallium Speciation in Hydrothermal Conditions
The importance of gallium in high technology applications (opto- and semiconductor- electronics, thin-films, metal alloys, etc.1) calls for a comprehensive understanding of its geochemistry. An exhaustive set of speciation and thermodynamical data was already determined for the system Ga-O-H, in a broad range of aqueous conditions up to 250°C.2 But speciation of gallium at higher temperatures in presence of other ligands remains unknown: what element/ligand is likely to play a major role in hydrothermal Ga transport?
In this geochemical context, we aimed at determining the speciation of gallium from ambient to 425°C, at 300 bar, in acidic conditions, in presence of nitrate, bromide and chloride ligands, following the works of Pokrovski and collaborators. This study was also for us the opportunity to start collaboration with Pr. Toshio Yamaguchi for his expertise in the chemistry of solutions. Our study is based on X-ray absorption spectroscopy measurements which permit to determine both the gallium speciation and molality as a function of temperature.
The fate of aqueous gallium as a function of temperature can be described in several temperature steps schematicaly described on Figure. At room temperature, Ga3+ cations are fully solvated in an octahedral geometry. Above 100°C precipitation of GaOOH occurs in agreement with previous studies. This precipitation is much more important for Br- and NO3- systems than for Cl- one where Ga is stabilized in solution by the formation of GaCl4- tetrahedral anions. Redissolution of precipitated gallium driven by nitrate and bromide ligands takes place for T> 300°C: we demonstrate the possible existence of an aqueous nitrated complex in contact with a precipitate and GaBr4- tetrahedral anions.
The structural results clearly show that these ligands have completely different role and relative strength with respect to gallium and have direct consequences on our knowledge in the transport of gallium in hydrothermal conditions. In light of these results, the pertinence of using bromide ligands as analogues for chloride ligands (for spectroscopic reasons) has also to be considered.

Figure: (left) Description of the gallium speciation in solution in hydrothermal conditions ([Ga3+] = 0.17mol/l). (right) XANES obtained for GaBr3 system (300 bar).
Principal publication and authors: Da Silva C.1, Proux O.2,3, Hazemann J.-L.1,3, James-Smith J.1,5, Testemale D.1,3, Yamaguchi T.5,X-ray Absorption Spectroscopy Study of Solvation and Ion-Pairing in Aqueous Gallium Bromide Solutions at Supercritical Conditions, J. Mol. Liq. 147 (2009) 83-95. 1 Institut Néel/CNRS, Grenoble, 2 OSUG, Grenoble, 3 FAME/ESRF, Grenoble, 4 School of Earth and Environmental Sciences, University of Adelaide, Australia, 5 Advanced Materials Institute and Department of Chemistry, Fukuoka University, Japan.
1 see Wood & Samson Ore Geol. Rev. 28 (2006) 57-102 and references therein
2 Bénézeth et al., Geochim. Cosmochim. Acta 61 (1997) 1345-1357
High resolution measurements
This is currently the main area of technical developments on the beamline.
Metal-insulator transition in vanadium oxides
Understanding metal-insulator transitions (MIT) driven by electron correlations in transition metal compounds remains an unsolved problem in the physics of strongly correlated systems. The measurement in the partial fluorescence yield mode happens to be extremely advantageous over standard XAS to improve the data quality and enhance the spectral changes. This was made possible thanks to the crystal-analyzer setup installed on the beamline.
Among these V oxides, and particularly vanadium dioxide (VO2) and Cr-doped vanadium sesquioxide (V2O3) have attracted considerable interest for undergoing a metal-insulator transition at about 340K and 200K, respectively. The former presents a well known first order MIT accompanied by structural transition1 while the later is a canonical case for Mott-Hubbard system providing an iso-structural first order MIT between two paramagnetic phases2. But despite several decades of theoretical and experimental investigations, a satisfactory explanation of their electronic properties is still not available.
In order to investigate the electronic properties of these systems, a high resolution near edge x-ray absorption spectroscopy (XAS) experiment was performed at the V K-edge. This study is focussed more particularly on the pre-edge region analysis which corresponds to both quadrupolar 1s->3d and dipolar 1s->4p transitions, the latter occurring via hybridization between 3d and 4p states. The absorption spectra was collected in partial fluorescence yield (PFY) mode i.e. by acquiring the intensity variations of the V Kα emission line while scanning the incident energy through the K-edge resulting in an improved intrinsic resolution compared to conventional XAS. The spectrometer was equipped with a Ge(331) analyzer borrowed from ID26, providing an overall energy resolution of about 1 eV. The measurements were performed in reflection geometry as a function of temperature and for different doping levels (x) in powder samples, through the metal-insulator transition.
Fig. 1 shows the spectral evolution of the V K-pre-edges in V2O3 as the system is driven through the MIT; the corresponding locations in the phase diagram are indicated in the inset. Striking changes in the pre-edge are observed when crossing the MIT both upon varying doping (Figure left) and temperature (Figure center). The spectra show barely any x-dependence in the paramagnetic insulating phase (PI), as expected from theory. In the paramagnetic metallic phase (PM), we observe a remarkable similarity between the spectra at (x=0, T=400K), (x=1.1%, T=300K), (x=0, T=300K) and (x=0, T=200K), though there are intensity differences on the high energy side. In a first approach, we can conclude that the effects of temperature and Cr-doping on the pre-edge structures reflect primarily the metallic or insulating character, independently of the exact locus in the phase diagram. The spectral differences at the metal insulator transition are interpreted by the increase of the d(a1g) orbitals in agreement with recent DMFT calculations in V2O3.
The results in VO2 single crystals as a function of temperature and for different conditions of polarization are summarized in Figure (right). Similarly to V2O3, large changes in the pre-edge structures upon crossing the MIT were observed. Figure (right) shows the pre-edge region of the spectra when changing the orientation of the single crystal with respect to the polarization of the light. We can observe a strong angular dependence for the insulating phase (M1). By contrast, the angular dependence is quite weak for the metallic phase (R). This result provides a new experimental evidence of an orbital switching in the V-3d states across the metal to insulator transition in VO2, as pointed out in a previous polarization-dependent x-ray absorption spectroscopy study at the V L2,3-edges3. Analysis is under way to identify the pre-edge structures and thus obtain additional information on orbitals involved in the MIT.

Figure: PFY-XAS V K-pre-edge region on (V1-xCrx)2O3 powder samples for different x values at ambient conditions (left) and for different point of temperature and doping level in the metallic phase (center). (right) PFY-XAS V K-pre-edge region in VO2 single crystals for different orientations: (1) c // ε, (2) c (ε ,k), (3) c // k .
Authors and principal publication: Rodolakis F., Hansmann P., Rueff J.-P., Toschi A., Haverkort M.W., Sangiovanni G., Saha-Dasgupta T., Held K., Sikora M., Alliot I., Itié J.-P., Baudelet F., Wzietek P., Metcalf P. and Marsi M., Inequivalent routes through the Mott transition in V2O3 explored by x-ray absorption spectroscopy: pressure vs. temperature and doping, Physical Review Letters, 104 (2010) 047401. SOLEIL synchrotron, Gif-sur-Yvette, France and Laboratoire de Physique du Solide, Orsay, France.
1 F.J. Morin, Phys. Rev. Lett. 3 (1959) 34.
2 D. McWhan ‘Mott transition in Cr-doped V2O3” Phys. Rev. Lett. 23, 1384 (1969); ‘Metal-insulator transition in (V1-xCrx)2O3” Phys. Rev. B 2 (1970) 3734.
3 M. W. Haverkort et al. ” Orbital-assisted metal-insulator transition in VO2’ Phys. Rev. Lett. 95 (2005) 196404.
Environmental sciences
Co-contamination of human cells by magnetic nanoparticles and arsenite
Once nanoparticles (NPs) are released in natural systems they may react with pollutants, cross biological barriers and modify the bioavailability/bioaccessibility of the associated pollutants. Then the issue of NPs as contaminant carriers needs to be investigated. This biological effect also known as ‘Trojan horse’ effect has been mentioned in the literature but remained poorly investigated, except for intentional effects as drug delivery. By combining viability assays, and structural analysis by XAS at the As K-edge, we assessed how gamma-Fe2O3 NPs affect the cytotoxicity (toward human dermal fibroblasts), the intra- and extracellular speciation of As(III). Two co-contamination scenarios were studied: a simultaneous co-injection of the NPs and As, and an injection of the NPs after 24h of As adsorption in water. We demonstrated that the co-injection of gamma-Fe2O3 NPs and As in the cellular media strongly affects the complexation of the intracellular As with thiol groups (Figure). This significantly increases at low doses the cytotoxicity of the As non-adsorbed at the surface of the NPs. However, once As is adsorbed at the surface (through double-corner-sharing, AsIII-O-Fe distance of 3.33±0.02Å) the desorption is weak in the culture medium. This fraction of As adsorbed at the surface is significantly less cytotoxic than As itself. Based on XAS data and the thermodynamics, we demonstrated that any disturbance of the biotransformation mechanisms by the NPs (as a surface complexation of -SH groups with the Fe surface atoms) is likely to be responsible for the increase of the As adverse effects at low doses.

Figure: Arsenic K-edge XANES spectra of (left) As in the extra- and intracellular media of human dermal fibroblasts following 24h exposure to 20 µM of As(III) and (right) of As localized in the extra- and intracellular media of fibroblasts following 24h exposure to 500 µM As(III) and 50 mg/L of Nm coinjected simultaneously ([As]+[Nm]). The experimental data are compared to XANES spectra of reference compounds (As2O3, As2O5, and As2S3).
Authors and principal publication: Auffan M.1,2, Rose J.1,2, Proux O.2,3, Masion A.1,2, Liu W., Benameur L.2,4, Ziarelli F.5, Botta A.4, Chaneac C.2,6, Bottero J.-Y.1,2, Is There a Trojan-Horse Effect during Magnetic Nanoparticles and Metalloid Cocontamination of Human Dermal Fibroblasts?, Environmental Science and Technology 46 (2012) 10789–10796. 1CEREGE, Aix en Provence / 2GDRi iCEINT, international Consortium for the Environmental Implication of Nanotechnology / 3OSUG, St Martin d’Hères / 4IMBE, Marseille / 5Fédération Sciences Chimiques FR-CNRS, Marseille / 6LCMC, Paris
Metals in biological systems
Chemical and structural status of copper associated with aquatic and soil microorganisms: geochemical and evolutionary consequences
This work describes the copper chemical status in several major types of microorganisms inhabiting the Earth’s surface. Cu adsorption on the surface and intracellular uptake inside the cells of four representative taxons of soil and aquatic microorganisms: aerobic rhizospheric (Pseudomonas aureofaciens, Ps), phototrophic anaerobic (Rhodovulum steppense, Rh) bacteria and cyanobacteria (Gloeocapsa sp., Gl) and freshwater diatoms (Navicula minima, NMIM). Chemical status of adsorbed and assimilated Cu was investigated using Cu K-edge X-ray absorption spectroscopy (XAS) at 10K on freeze-dried samples.
A novel and unexpected feature of Cu interaction with aquatic microorganisms, certainly linked to Cu binding to proteins, is the presence of monovalent Cu not only inside the cells as evidenced by XAS data of EDTA-treated, long-term Cu exposure samples but also at the cell surface as it is seen from spectra of short-term surface-adsorbed Cu (Figure , A & B). We note that the highest fraction of Cu(I) is observed when S is present in the first atomic shell of adsorbed or incorporated Cu. This can be linked to a thiolate or cysteine environment of Cu(I). The Cu(I) signal is especially important in phototrophic anoxygenic bacteria cultured under anoxic conditions. At the same time, we do not detect in any of studied microorganisms Cu-O-Cu or Cu-S-Cu linkages like those reported in Cu(I)-transporting proteins. This led us suggest that significant part of Cu(I) is bound within the cell membrane, rather than with the intracellular proteins in cytoplasm. These new structural constrains suggest that adsorbed Cu(II) is partially reduced to Cu(I) already at the cell surface, where as intracellular Cu uptake and storage occur both in the form of Cu(I)-S linked proteins and Cu(II) carboxylates. The relative proportion of each of these storage and transport pools depends on the nature of microorganisms but also on the metal loading. Obtained results allow to better understand how, in the course of biological evolution, microorganisms elaborated various mechanisms of Cu uptake and storage, from passive adsorption and uptake to active, protein-controlled surface reduction and intracellular storage.
A schematic cartoon of Cu (II, I) interaction with the cell surface and redistribution within the cell compartments is given in Figure (C). Adsorbed Cu(II) carboxylate/phosphoryl groups may facilitate intracellular Cu(II) storage, whereas Cu(II) reduction on the surface by membrane proteins is a prerequisite for Cu(I) transport and storage by sulfhydryl moieties of cell proteins. Formation of Cu-thiol linkages stabilizes monovalent Cu at the bacterial surface; this stabilization is further pronounced for intracellular Cu.
The similarity of chemical status of intracellular Cu in cyanobacteria and freshwater diatoms, having different tolerance and requirement to Cu, is at first glance puzzling. However, our experiments were performed at rather high concentrations, when the passive rather than active defense (or uptake) mechanisms are pronounced. It is possible that at lower Cu concentration in solution, the cells would preferentially accumulate this metal in the form of “protein-active” sulfhydryl moieties and not dominantly carboxylate groups; for this, additional high resolution XAS measurements are necessary.

Figure: Normalized XANES spectra of (A) adsorbed and (B) incorporated Cu micro-organism samples and their comparison with reference compounds. The four vertical lines denote the 1s-3d pre-edge Cu(II) transition, 1s-4p transition characteristic of Cu(I) compounds, the 8986–8988 feature typical of covalent Cu(II) complexes, and the main-edge-crest resonance particularly pronounced for Cu(II)-O ⁄ N complexes. (C) Conceptual scheme of Cu interaction with studied microorganisms. For phototrophic aerobic cells, adsorbed Cu(II) carboxylate/phosphoryl groups may facilitate intracellular Cu(II) storage. For phototrophic anaerobic and soil rhizospheric bacteria, the Cu(II) reduction on the surface by membrane proteins is a prerequisite for Cu(I) transport as sulfhydryl moieties of cell proteins.
Authors and principal publication: Pokrovsky O.S., Pokrovski G.S., Shirokova L.S., Gonzalez A.G., Emnova E.E., Feurtet-Mazel A., Chemical and structural status of copper associated with oxygenic and anoxygenic phototrophs and heterotrophs: possible evolutionary consequences, Geobiology 10 (2012) 130-149. 1 Géosciences Environnement Toulouse (GET), Toulouse / 2 Institute of Ecological Problems of the North, Arkhangelsk, Russia / 3 Departamento de Quimica, Facultad de Ciencias del Mar, Las Palmas, Spain / 4 Institute of Genetics and Plant Physiology, Moldavian Academy of Science, Chisinau, Moldova / 5 EPOC, UMR CNRS Université de Bordeaux, Arcachon.
X-ray spectroscopy probes the chemical environment of metals in complexes of potential medical interest
The three pseudopeptides L1-3, having three converging cysteine arms anchored on a nitrilotriacetic acid (NTA) scaffold have been demonstrated to be efficient Cu(I) and Hg(II) sulfur-based chelating agents. Such derivatives are currently proposed as drug candidates to treat copper (Cu) overload in the rare Wilson’s disease or as detoxification agents for toxic mercury (Hg). Since the coordination of the metal ion is strongly related to the chelating ability - affinity and selectivity - of these potential drugs, we investigated in-depth the chemical environment of metal ions in the complexes with the pseudopeptides L1-3. The Hg(II) thiolate complexes were fully characterized in water by acid-base titration and several spectroscopic methods, including UV, 1H and 199Hg NMR and Hg-LIII EXAFS. The formation of monometallic complexes was demonstrated with typical signatures of a trigonal HgS3 coordination site, which is uncommon, as Hg(II) usually prefers a coordination number of two. The digonal HgS2 structure is formed at acidic pH, where one cysteine group is protonated (HgLH complex).
X-ray absorption spectroscopy and in particular extended X-ray absorption fine structure (EXAFS) is the most efficient method to infer into the coordination sphere of metal ions. At alkaline pH, Hg-LIII EXAFS spectra at liquid Helium temperature are nearly identical for the three HgL complexes. Their analysis reveals asymmetrical HgS3 binding environment with three S atoms at 2.38, 2.51 and 2.67 Å (Figure ). This suggests that the C3-symmetrical species detected by 1H NMR at 298 K are averages of non-symmetrical complexes rapidly equilibrating on the NMR time-scale at ambient temperature. At acidic pH, Hg(II) is coordinated in a linear configuration to the two sulfur atoms from the thiolate groups at a distance of 2.36 Å, and in a T-shape geometry, to the third sulfur atoms from the protonated cysteine at 3.07 Å.
This work demonstrates that pseudopeptides derived from chemical scaffolds, which favor a tristhiolato HgS3 coordination environment are interesting alternatives to design efficient water-soluble mercury-sequestering compounds. EXAFS studies are currently performed with the corresponding Cu(I) complexes to determine if their exceptionally high stability is related to the coordination environment of the Cu(I) ion.

Figure: EXAFS spectra of HgL3H complex with corresponding representations of the possible coordination modes.
Authors and principal publication: Pujol A. M.1, Lebrun C.1, Gateau C.1, Manceau A.2, Delangle P.1, Mercury-Sequestering Pseudopeptides with a Tris(cysteine) Environment in Water, European Journal of Inorganic Chemistry, 24 (2012) 3835–3843. 1 INAC, Service de Chimie Inorganique et Biologique, CEA, Grenoble / 2 ISTerre, UMR CNRS - UJF, Grenoble
Materials for energy
In-situ XRD and EXAFS investigation on layered Ni/Mn oxides in Lithium Ion Batteries
Li rich layered Ni/Mn oxides have a high capacity and were attractive candidates for Lithium Ion batteries,1 whereby the processes of the first charge cycle are unclear and of certain interest for battery conditioning.2 We synthesised Li[Li0.2Mn0.61Ni0.18Mg0.01]O2 by solid state reaction of the corresponding carbonates. In-situ XRD and EXAFS experiments were performed on BM20-MRH and BM30b respectively.
On the first charge from 0.9<x<1.2 a lattice shift in a and irreversible in c is observed (Figure , left). This parameter and the potential V remain constant until x<0.2, which is typical for a two phase process in such materials. Increased FWHM of reflection (0012) give hint to the existence of a second structural very similar crystal phase. EXAFS data reveal in the pristine material Ni to be very close to NiO and almost constant up to x<0.9 while Mn is oxidized to nominal +4 up to 4.4V (Figure right). The subsequent discharge-charge plot shows the typical crystal lattice variation and oxidation state changes due to the charge state of the battery.
These experiments prove that the actual cathode material for the subsequent charge-discharge cycles is formed during the first charge in between 0.9<x<1.2 by an irreversible phase transformation and corresponding oxidation of first Mn3+ and later Ni2+.

Figure: Evolution of the lattice parameter a and c during the first charge-discharge cycle (left), extracted by profile matching from diffraction data at 25 keV. Corresponding changes in the EXAFS data at the Mn and Ni-edge are displayed on the right.
Authors and principal publication: Simonin L.1, Colin J.-F.1, Ranieri V.2, Canévet E.1, Martin J.-F.1, Bourbon C.1, Baehtz C.3, Strobel P.4, Daniel L.1, Patoux S.1, In situ investigations on a Li-rich Mn-Ni layered oxide for Li-ion battery, Journal of Materials Chemistry 22 (2012) 11316-11322. 1 CEA-LITEN, Grenoble / 2 CEA-INAC, Grenoble / 3 ROBL beamline & Institute of Ion Beam Physics and Materials Research, Dresden / 4 Institut Néel & FAME Beamline, Grenoble, France
1 M. M. Thackeray et al, J. Mater. Chem., 2005, 15, 2257
2 F. La Mantia et al, J. Electrochem. Soc., 2009, 156, A823
Catalysis
A surface science approach in aqueous phase used to rationalize the preparation of heterogeneous catalysts
The rational design of heterogeneous catalysts involves the implementation of model approaches, "surface science" being the best known. This approach aims to model a complex industrial catalyst using simple chemical systems most often presented in the form of plane monocrystalline supports capable of reproducing, at least in part, the physicochemical behavior of a metal particle or a pulverulent metal oxide with a large specific surface area.
This study focused on the study of catalysts using Ni on alumina (Ni/Al2O3), which can be found in many applications such as steam reforming (hydrogen production from hydrocarbons), hydrogenation and hydrotreating (removal of S, N, O and metals from petroleum fractions). To model the industrial gamma-alumina oxide support (poorly crystalline and exhibiting many different crystallographic faces) we decided to use monocrystalline wafers of alpha-alumina in different crystallographic orientations in order to model the different surface groups (hydroxyl) of the industrial support.
The originality of this study lay in how the catalyst was synthesized. This was done in the aqueous phase (as done industrially) and the characterization was carried out under ambient conditions in contrast to more traditional surface science approaches, where the model catalyst is synthesized under ultra-high vacuum, industrially far less realistic.
The use of oriented monocrystals required the use of a characterization technique capable of providing molecular information for very low concentrations of active phase (NiII in this case) deposited on the oxide surface. Grazing incidence EXAFS spectroscopy (Grazing-incidence XAS or GI-XAS) turned out to be a technique of choice in this regard. This technique has been implemented on several complementary beamlines during this study: FAME and GILDA at ESRF and DIFFABS and SAMBA at SOLEIL.
The use of oriented monocrystals coupled with the polarization of the synchrotron beam yielded new information on the orientation of the supported active phase and showed that the crystalline orientation of the oxide support strongly governed speciation (chemical distribution) of the active phase. When NiII was adsorbed in the aqueous phase, Ni K-edge EXAFS revealed an oriented precipitation of nickel hydroxide (Ni(OH)2) on the (102) surface of alpha-alumina. For example, Figure shows the effect of polarization on the second peak in the Fourier transform of the EXAFS signal (Ni-Ni distances): this peak is very pronounced for a monocrystal orientation parallel to the electric field vector, , whereas the intensity of the same Ni-Ni peak decreases sharply when the sample is oriented perpendicular to the electric field vector. In contrast, for the (0001) surface of alpha-alumina, no Ni deposit was observed, which shows the importance of the type of surface group exposed by the oxide for controlling the adsorption of the active phase.
These results demonstrate at the molecular level that the oxide support does not merely act as a physical container of the active phase and that the nature of specific surface sites plays a key role in the formation and orientation of the nickel hydroxide precipitate. The fact that Ni(OH)2 precipitated only on the (102) face can be explained by the minimization of surface energy between the alumina and the nickel hydroxide.
The use of a model system shows that the Ni dispersion on individual oxide particles is highly heterogeneous for an industrial catalyst as it will depend on the type of face exposed and therefore on the morphology of the oxide support. These findings also highlight the fact that each face of the alumina has a specific reactivity depending on which OH groups are exposed. Controlling the morphology of gamma-alumina is therefore a key factor at the industrial scale in order to be able to control the deposition and dispersion of the active phase.

Figure: Fourier transforms of the Ni K -edge EXAFS signal (k3 -weighted) for parallel and perpendicular polarizations of the sample obtained by depositing NiII on the (102) surface of α-alumina. The solid blue line shows the experimental spectrum and the circle, refinement of the signal. The structure of the nickel hydroxide (Ni(OH)2) is shown on the right as seen from the top or on the side with respect to the (001) basal plane.
Authors and principal publication: Tougerti A.1, Llorens I.2,3, D'Acapito F.4, Fonda E.4, Hazemann J. L.2,6, Joly Y.6, Thiaudiere D.5, Che M.1, & Carrier X.1 (2012) Surface Science Approach to the Solid–Liquid Interface: Surface-Dependent Precipitation of Ni(OH)2 on alpha-Al2O3 Surfaces Angewandte Chemie International Edition 51 (2012) 7697–7701. 1 UPMC, Laboratoire de Réactivité de Surface / 2 FAME Beamline, Grenoble / 3 CEA-INAC, Grenoble / 4 GILDA, ESRF, Grenoble / 5 Synchrotron Soleil, Gif-sur-Yvette / 6 Institut Néel, Grenoble, France.



