- Home
- Users & Science
- Scientific Documentation
- ESRF Highlights
- ESRF Highlights 2008
- X-ray absorption and magnetic scattering
- Isotopic effect in extended X-ray absorption fine structure of germanium
Isotopic effect in extended X-ray absorption fine structure of germanium
The structural, electronic and dynamical properties of crystals are mainly dependent on the atomic number of the constituent atoms. However, the isotopic composition has subtle but non-negligible influence on some basic properties, like density, phonon widths, and electronic energy gaps [1]. Isotopic effects are relevant not only for their basic scientific interest, but also for several possible technological applications [2].
The dependence of the dynamical properties of crystals on the isotopic composition is of primary importance. The force constants depend on atomic species and crystal structure. However, the zero-point amplitude of atomic vibrations is also influenced by the nuclear masses, the lighter isotopes undergoing larger oscillations than the heavier ones. As a consequence of anharmonicity, the difference in zero-point amplitude of motion reflects on a difference of interatomic equilibrium distances and lattice parameters [1]. In the case of germanium, the expected relative change in the lattice parameter between 70Ge and 76Ge is as small as
a/a 5 x 10–5. Note that these effects, of genuine quantum origin, disappear progressively when temperature increases.
An investigation of the isotopic effect on the amplitudes of nearest-neighbours relative vibrations (parallel mean square relative displacement (MSRD)) and on the nearest-neighbours average distance in powdered samples of 70Ge and 76Ge has been performed by extended X-ray absorption fine structure (EXAFS) spectroscopy.
Two highly isotopically enriched Ge samples with the degrees of enrichment 98.2% for 70Ge and 99.9% for 76Ge were produced at the Kurchatov Institute (Russia), and their Ge K-edge EXAFS spectra recorded with high accuracy from 20 to 300 K, at beamline BM29.
![]() |
|
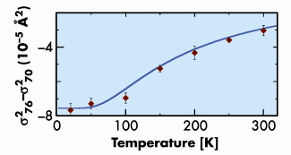
Fig. 117: Difference of the EXAFS MSRDs as a function of temperature for the two isotopes 70Ge and 76Ge. The solid line shows the difference between two Einstein models. |
The difference of the MSRD values for two isotopes has been clearly evidenced (Figure 117) and is in good agreement with a behaviour expected from the Einstein model based on the single force constant k0 = 8.496(40) eV/Å2 and two characteristic frequencies: 7.70(2) THz for 70Ge and 7.39(2) THz for 76Ge.
![]() |
|
Fig. 118: Difference of the nearest-neighbour average interatomic distance in 76Ge and 70Ge, determined from EXAFS analysis (diamonds), compared with the difference of distances between average positions determined from X-ray backscattering (circles). |
The effect of isotopic mass has also been revealed in thermal expansion (Figure 118). The zero-point values of the nearest-neighbours average distance measured by EXAFS are consistent with the values of distance between average positions measured by Bragg diffraction, once the effects of vibrations perpendicular to the bond are taken into account. The possibility of detecting relative distance variations smaller than 10 femtometres by means of a conventional transmission EXAFS apparatus and a standard procedure of data analysis has been demonstrated.
Principal publication and authors
J. Purans (a,b), N.D. Afify (a), G. Dalba (a), R. Grisenti (a), S. De Panfilis (c,d), A. Kuzmin (b), V.I. Ozhogin (e), F. Rocca (f), A. Sanson (f), S.I. Tiutiunnikov (g) and P. Fornasini (a), Physical Review Letters 100, 055901:1-4 (2008).
(a) Department of Physics, University of Trento (Italy)
(b) Institute of Solid State Physics, Riga (Latvia)
(c) Res. Centre Soft INFM-CNR, Roma (Italy)
(d) ESRF
(e) Res. Centre “Kurchatov Institute”, Moscow (Russia)
(f) CNR-IFN and FBK-CeFSA, Trento (Italy)
(g) JINR, Dubna (Russia)
References
[1] M. Cardona and M.L.W. Thewalt, Rev. Mod. Phys. 77, 1173 (2005).
[2] V.G. Plekhanov, Prog. Mater. Sci. 51, 287 (2006).





