- Home
- Users & Science
- Scientific Documentation
- ESRF Highlights
- ESRF Highlights 2003
- Method and Instrumentation
- Performance of a Cryogenically-cooled Silicon Monochromator Under Extreme Heat Load
Performance of a Cryogenically-cooled Silicon Monochromator Under Extreme Heat Load
High brilliance and stability are key parameters at third generation synchrotron radiation sources. Having already increased the storage ring current from 100 to 200 mA, the ESRF is now considering 250 mA and above. This increases the flux but poses technical problems for handling the heat load. Heating of the monochromator crystal by a small X-ray beam leads to a temperature gradient and forms a bump on the surface of a monochromator crystal due to a non-homogeneous lattice expansion. The common way to tackle the problem is to cool the silicon crystal to 125 K, where silicon has zero thermal expansion [1].
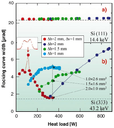
In order to cope with the foreseen increase of the heat load, we examined the performance of an indirectly-cooled cryogenic silicon monochromator at the Nuclear Resonance beamline ID18 [2]. At a nominal electron current of 200 mA, the maximum power of X-rays from three U32 undulators is 450 W in the central cone (1.2 x 0.6 mm2, horizontal x vertical) and 1000 W within a maximum 2 x 4 mm2 aperture. Figure 163 shows the results of the rocking curve measurements. The heat load was varied by closing the gaps of the undulators (red) and, alternatively, by opening the vertical slit at various sizes of the horizontal slit (blue, green, and cyan circles). The heat-load effects are small: they cannot be revealed with 14.4 keV radiation utilizing the Si (111) reflection up to the highest heat load of 870 W (Figure 163a). The Si (333) reflection at 43.2 keV is more sensitive, it shows that the monochromator reaches the best performance in a heat-load range of 250-350 W (Figure 163b). Here the rocking curve width almost coincides with the theoretical value. The thermal-induced broadening in this range is about 0.8 mrad.
![]() |
|
Fig. 163: Rocking curve width (FWHM) of the Si (111) reflection for 14.4 keV (a) and of the Si (333) reflection for 43.2 keV (b) X-rays as a function of heat load. The dashed horizontal lines show the rocking curve widths calculated for ideal crystals. |
The observed thermal broadening is not uniquely determined by the heat load but also depends on the slit size. At a fixed heat load of 340 W (Figure 163b, vertical dotted line), the broadening differs significantly for various slits sizes. Note that at this heat load the monochromator performance becomes better when the same heating power is concentrated in a smaller area. We attribute this effect to a displacement of the spot of the monitored radiation relative to the thermal bump on the crystal surface. The same effect can cause broadening and even splitting of the rocking curve when the undulator gap is tuned out of the optimal value (see inset).
In order to reveal the dependence of the performance on only the heat load, we carried out measurements with fixed undulator gaps and fixed slit size of 2 x 1 mm2. The heat load was varied by ramping the current in the storage ring. Figure 164 shows the total flux, spectral density, and the width of the vertical angular profile of the 14.4 keV radiation measured for the Si (111) reflection. The angular profile was measured directly after the monochromator and, alternatively, with the addition of a collimating compound refractive lens. The total flux dependence is exactly linear and does not reveal any heat load effects. The increase of the spectral density becomes steeper at 250 W, revealing better performance at elevated heat load. The width of the angular profile becomes close to the expected value at the same heat load. When collimation is applied, the width of the angular profiles reaches the angular resolution in the heat load range of 250-400 W. Here the thermal distortions are estimated to be less than 0.7 µrad.
![]() |
|
Fig. 164: Flux (a), spectral density (b), and width (FWHM) of the angular profile of radiation after the monochromator without (c) and with (d) collimation of the beam by a compound refractive lens. Dashed lines are to guide the eyes. Horizontal dotted lines show the theoretically expected width of the angular profile (c) and the resolution of angular profile measurements (d). |
Thus, the cryogenically-cooled silicon monochromator performs almost ideally up to the highest available heat load of ~ 400 W. The data analysis suggests that this performance should not significantly degrade up to ~ 600 W.
References
[1] D.H.Bilderback, A.K.Freund, G.S.Knapp, D.M.Mills, J. Synchrotron Rad., 7, 53-60 (2000).
[2] R.Rüffer, A.I.Chumakov, Hyperfine Interactions, 97-98, 589-604 (1996).
Principal Publication and Authors
A. Chumakov (a), R. Rüffer (a), O. Leupold (a), J.-P. Celse (a), K. Martel (a), M. Rossat (a) and W.K. Lee (b,a), J. Synchrotron Rad. (2004).
(a) ESRF
(b) APS, Argonne (USA)





